Найти в Дзене

О чем вам никогда не расскажут учителя и репетиторы химии?

Вы хотите познавать химию и профессионально, и с удовольствием? Тогда вам сюда! Автор методики системно-аналитического изучения химии Богунова В.Г. раскрывает тайны решения задач, делится секретами мастерства при подготовке к ОГЭ, ЕГЭ, ДВИ и олимпиадам
В этом сезоне я решила бороться с пропорцией в процессе обучения химии. Хочу, чтобы вы правильно поняли. Я ничего не имею против пропорции, как тех

Вы хотите познавать химию и профессионально, и с удовольствием? Тогда вам сюда! Автор методики системно-аналитического изучения химии Богунова В.Г. раскрывает тайны решения задач, делится секретами мастерства при подготовке к ОГЭ, ЕГЭ, ДВИ и олимпиадам

В этом сезоне я решила бороться с пропорцией в процессе обучения химии. Хочу, чтобы вы правильно поняли. Я ничего не имею против пропорции, как технологии расчетов: она простая и понятная, как первый советский трактор. И никогда не подводит! Но многие учителя и репетиторы используют пропорцию везде и всегда, даже при решении сложных задач. Почему я категорически против этого? Чтобы решить сложную задачу через пропорцию, нужно знать (или уметь составлять) алгоритм решаемой задачи. Взрослый человек, преподаватель химии, может составить логическую схему алгоритма, ребенок - практически никогда! Потому и бегают за мной преподаватели буквально толпами, надеясь на то, что я раскрою секреты шаблонов алгоритмов, а репетиторы химии заставляют своих подопечных запоминать шаблоны задач и с ужасом ожидают введения новых алгоритмов в ЕГЭ.

При чем здесь пропорция? Все просто! Пропорция позволяет решать задачу исключительно пошагово ("от дерева к дереву, от кочки к кочке"). Пропорция никогда не покажет цельную схему алгоритма ("весь лес с высоты со всеми деревьями, тропками и дорожками"). Построить карту-схему алгоритма задачи могут только алгебраические и логические формулы! Этому можно и нужно научить ребенка, который с удовольствием будет копаться в логически обоснованной системе!

Но и это не все! Те учителя и репетиторы химии, которые решают и объясняют решение задач через пропорцию, в принципе, никогда не научат своих подопечных химии. Они, конечно же, будут объяснять процессы и явления. Возможно, будут рассказывать очень интересно, приводя многочисленные примеры и проводя интересные опыты. Но... изучение химии для ребенка превратится, к сожалению, в банальное запоминание. Знания будут не системные, обрывочные. В этом случае, ни о каком высоком балле на экзамене не может быть и речи!

Еще и еще раз предупреждаю родителей!

Как только вы увидели, что преподаватель химии обучает вашего ребенка решению задач исключительно через пропорцию, немедленно уходите от него! Каждое занятие с таким учителем все дальше и дальше будет уводить вашего ребенка от понимания и познавания химии!

Так о чем же вам никогда не расскажут учителя и репетиторы химии? Они не расскажут вам о том, что нет никаких шаблонов алгоритмов! Кстати, они сами об этом даже не догадываются. А что есть? Как научиться решать любую задачу по химии?

Раскрываю великую тайну!

Есть общие подходы к решению любой задачи по химии (я их называю Четыре Заповеди), есть расчеты с количеством вещества, есть особенности алгоритмов для газов, растворов и твердых веществ и есть группа алгоритмов на вывод формул вещества. И все!!!

Именно этому я учу своих подопечных, а они одаривают меня и своих родителей высокими результатами экзаменов, потому как не только не боятся новых алгоритмов, но с радостью ждут их, как новую игрушку!

Прочитайте статьи о моих учениках. Вы увидите, как самые обыкновенные ребята, имеющие незначительные познания в химии, могут за 3-4 месяца подготовиться к ЕГЭ, сдать его с высочайшими баллами и поступить на бюджетные места в лучшие ВУЗы Москвы. А все потому, что их подготовка была системной (именно система составляет основу моей методики), а не фрагментарной (школьные учителя и подавляющее большинство репетиторов преподают именно так).

Богунова В.Г. "Будущий Золотой Фонд российской медицины! Анастасия Сергеева" Яндекс Дзен

Богунова В.Г. "Будущий Ломоносов уже поступил... в "менделеевку". Михаил Суслин" Яндекс Дзен

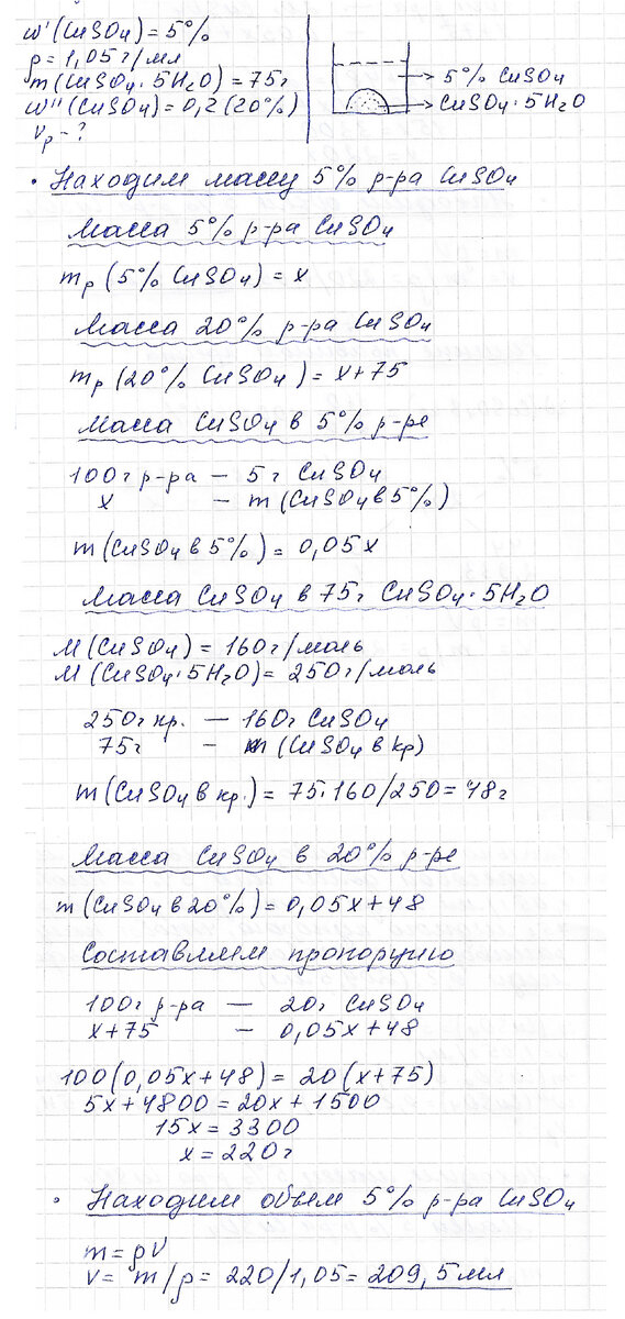
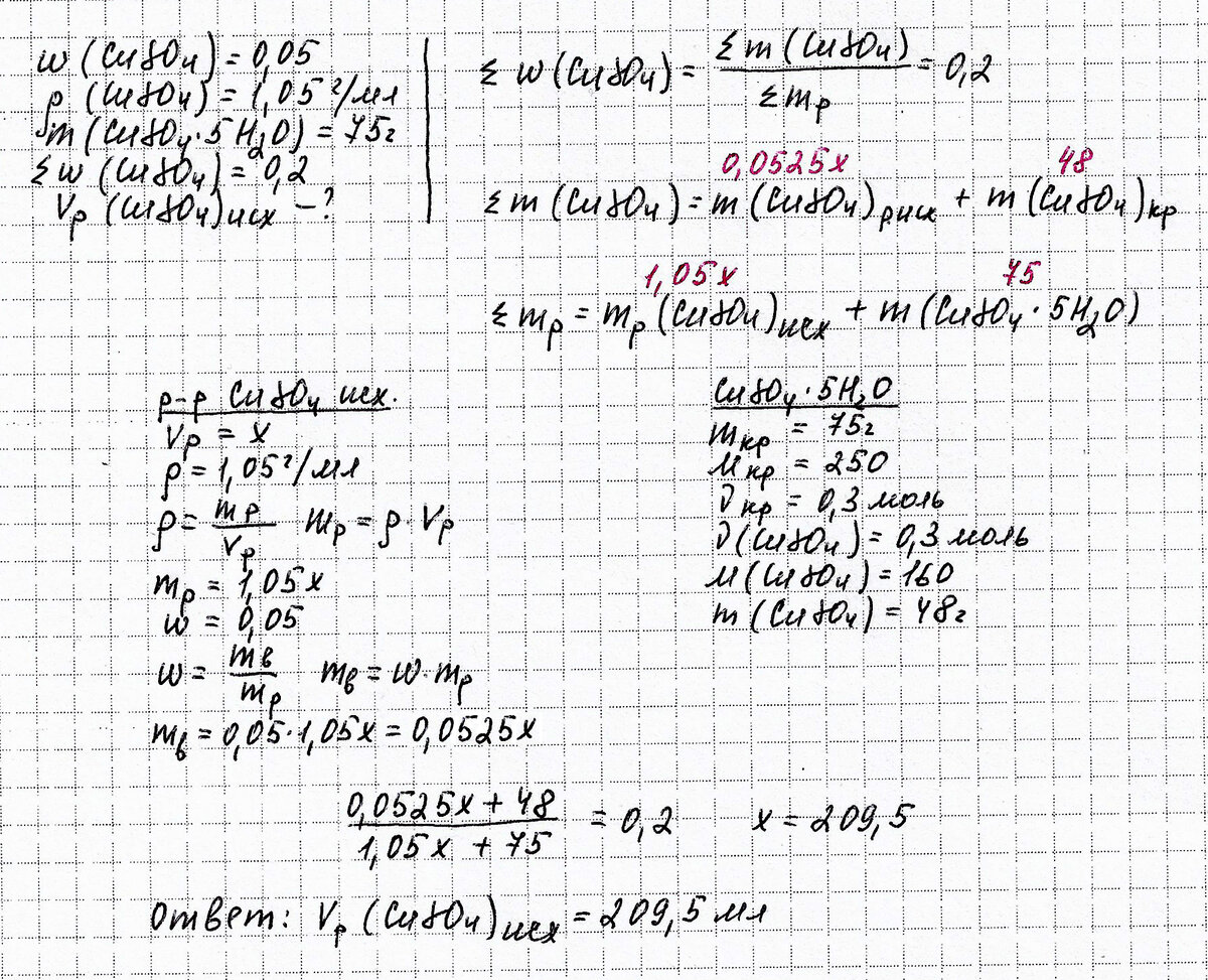
Привожу пример задачи на приготовление растворов, которая была решена разными способами - с помощью пропорции и системно-аналитически, с использованием алгебраических и логических формул.

Задача

Какой объем раствора сульфата меди (II) с массовой долей 5% и плотностью 1,05 г/мл нужно взять для растворения 75 г медного купороса, чтобы получить раствор с массовой долей сульфата меди (II) 0,2?

Решение задачи через пропорцию

Системно-аналитический способ решения задачи

-2

Только слепой не смог не увидеть разницу в решении задачи. Так и с преподаванием химии. Приведу образный пример. Зайдите в незнакомый лес, пройдите пару шагов и остановитесь. Страшно идти дальше? Конечно страшно! Если у вас нет карты, нет компаса и лес этот вы видите впервые, то велика вероятность того, что вы заблудитесь. Вы даже рисковать не станете и никуда дальше не пойдете, даже если там белых грибов много. Однако, если вы будете видеть на карте каждую тропинку, каждую кочку, границы леса и у вас будет современный навигатор, вы, наверняка, отправитесь в увлекательное путешествие с результативным финалом.

Именно так отличается работа большинства школьных учителей, преподавателей ВУЗов и репетиторов-подработчиков (студентов, врачей, технологов, гастарбайтеров из ближнего зарубежья) от работы дипломированных специалистов, репетиторов-профессионалов, авторов методик. Первые (имитаторы) - наваливают информацию в голову ученика, как картошку в мешок, превращая занятия в откровенную профанацию, а результат - в русскую рулетку. Вторые (профессионалы) - строят систему знаний в голове ребенка, одновременно структурируя всю информационную базу ученика. Результат - высокий балл на ЕГЭ и бюджетные места в ВУЗе.

Как отличить репетитора-имитатора от репетитора-профессионала уже при первом общении, я обязательно расскажу в следующих статьях.

-3

Вы хотите поступить в медицинский? Обязательно посетите мой сайт Репетитор по химии и биологии. Здесь вы найдете огромное количество задач, заданий, теоретического материала и познакомитесь с моими учениками, многие из которых уже давно закончили ВУЗы и, работая врачами, спасают наши с вами жизни.
На странице ВК я анонсирую свои публикации, вебинары, уроки, рассказываю и показываю решение задач и заданий, выкладываю новинки теоретического материала, конспекты и лекции. Добавляйтесь ко мне в друзья, и вы всегда будете в курсе всех событий, связанных с подготовкой к ЕГЭ, ДВИ, олимпиадам!
Полный каталог статей репетитора Богуновой В.Г. вы найдете на странице сайта Статьи репетитора
Подписывайтесь на YouTube-канал Репетитор по химии и биологии. Здесь ежедневно появляются новые вебинары, видео-уроки, видео-консультации, видео-решения.
Пишите мне в WhatsApp +7(903)186-74-55, я отвечу вам обязательно.
Приходите ко мне на занятия, я помогу вам фундаментально изучить химию и биологию, научу решать любые задачи, даже самые сложные.

Репетитор по химии и биологии кбн В.Богунова