Найти в Дзене

Химия - с нуля! 4-й шаг. Легкие расчеты по уравнениям реакций. Неужели, так можно?!

Вы хотите познавать химию и профессионально, и с удовольствием? Тогда вам сюда! Автор методики системно-аналитического изучения химии Богунова В.Г. раскрывает тайны решения задач, делится секретами мастерства при подготовке к ОГЭ, ЕГЭ, ДВИ и олимпиадам В предыдущей статье для начинающих изучать химию я рассказала о всевозможных манипуляциях с количествами вещества "Химия - с нуля! 3-й шаг. Секреты быстрых расчетов". Сегодня разговор пойдет о расчетах по уравнениям реакций. В основе расчетов по уравнениям реакций лежит закон простых кратных отношений Д. Дальтона, который в современной формулировке звучит следующим образом: Количества веществ реагентов и продуктов относятся друг к другу как коэффициенты в уравнении химической реакции По-моему, понятно: как коэффициенты относятся к друг другу, так и количества вещества тоже относятся друг к другу. Зная количество вещества одного из участников (продукта или реагента), можно по соотношению рассчитать количество вещества другого участника.

Вы хотите познавать химию и профессионально, и с удовольствием? Тогда вам сюда! Автор методики системно-аналитического изучения химии Богунова В.Г. раскрывает тайны решения задач, делится секретами мастерства при подготовке к ОГЭ, ЕГЭ, ДВИ и олимпиадам

В предыдущей статье для начинающих изучать химию я рассказала о всевозможных манипуляциях с количествами вещества "Химия - с нуля! 3-й шаг. Секреты быстрых расчетов". Сегодня разговор пойдет о расчетах по уравнениям реакций.

В основе расчетов по уравнениям реакций лежит закон простых кратных отношений Д. Дальтона, который в современной формулировке звучит следующим образом:

Количества веществ реагентов и продуктов относятся друг к другу как коэффициенты в уравнении химической реакции

По-моему, понятно: как коэффициенты относятся к друг другу, так и количества вещества тоже относятся друг к другу. Зная количество вещества одного из участников (продукта или реагента), можно по соотношению рассчитать количество вещества другого участника. Для этого совершенно не обязательно использовать пропорцию.

Я хочу научить вас совершенно легким расчетам по уравнениям реакций. Замечу, закон простых кратных отношений Д. Дальтона никто опровергать не собирается. Просто, мы уходим как от пропорции, так и от дополнительных записей соотношений коэффициентов и количеств веществ. При решении сложных комбинированных задач со многими расчетами, такой технологический прием значительно упрощает оформление задачи, не забивая сознание чисто технической информацией, "лишней" для восприятия.

Наверняка, вы зададитесь вопросом: "Как можно сделать расчет даже без записи соотношений?!" Очень просто! Я предлагаю перенести все расчеты прямо в уравнение реакции, которое станет для нас не только символическим изображением химического процесса, но и "полигоном" для расчетов. Давайте посмотрим, как работает такой прием на конкретной задаче.

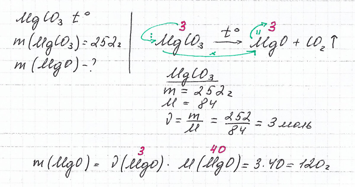
Задача

Сколько граммов оксида магния получится при разложении 252 г карбоната магния МgСО3?

Немного теории. Все нерастворимые карбонаты, а также карбонаты лития и аммония, разлагаются при нагревании: карбонаты металлов разлагаются до оксида металла и углекислого газа, карбонат аммония при разложении образует аммиак, углекислый газ и воду.

Основные шаги при решении задач по химии (Заповеди) мы рассмотрим в следующей статье. Однако, следует заметить:

Расчеты по уравнениям реакций проводят исключительно по количеству вещества (молям)!
Для газов можно рассчитывать также в любых объемных единицах.
Уравнения реакций и массы веществ - несовместимые понятия!

Итак, по уравнению реакции мы можем рассчитать только моли одного из участников по молям другого участника. Поэтому на основании данных задачи (252 г карбоната магния) рассчитываем количество вещества (3 моль). Это и будет точка расчета по уравнению реакции. Теперь читайте предельно внимательно, глядя на уравнение реакции

Как сделать легкий расчет по уравнению реакции?

Точку расчета (моли - над веществом) делим на коэффициент при этом веществе, затем умножаем на коэффициент перед определяемым веществом и получаем результат

Все действия я указала зелеными стрелками. Рисовать стрелки совершенно не обязательно. Это, просто, мои мысли. Но для начинающих я, все же, рекомендовала бы рисовать стрелки карандашом. Так надежней.

Для завершения задачи, нужно определить массу по уже рассчитанному количеству вещества. Думаю, с этим вы справитесь без проблем.

Вы хотите поступить в медицинский? Обязательно посетите мой сайт Репетитор по химии и биологии. Здесь вы найдете огромное количество задач, заданий, теоретического материала и познакомитесь с моими учениками, многие из которых уже давно закончили ВУЗы и, работая врачами, спасают наши с вами жизни.
На странице ВК я анонсирую свои публикации, вебинары, уроки, рассказываю и показываю решение задач и заданий, выкладываю новинки теоретического материала, конспекты и лекции. Добавляйтесь ко мне в друзья, и вы всегда будете в курсе всех событий, связанных с подготовкой к ЕГЭ, ДВИ, олимпиадам!
Полный каталог статей репетитора Богуновой В.Г. вы найдете на странице сайта Статьи репетитора
Подписывайтесь на YouTube-канал Репетитор по химии и биологии. Здесь ежедневно появляются новые вебинары, видео-уроки, видео-консультации, видео-решения.
Пишите мне в WhatsApp +7(903)186-74-55, я отвечу вам обязательно.
Приходите ко мне на занятия, я помогу вам фундаментально изучить химию и биологию, научу решать любые задачи, даже самые сложные.

Репетитор по химии и биологии кбн В.Богунова