Добавить в корзинуПозвонить
Найти в Дзене
Мысли из будущего

Почему орбиты планет стабильны?

Меня со школьных лет всегда мучил один вопрос. Почему гравитация везде только притягивает, а планеты не падают на свои звезды, или почему звезды крутятся вокруг центра галактик, но все по отдельности? Или почему столкновение звезд происходит крайне редко, а если это случается, то это происходит с нейтронными звездами или черными дырами. Ведь если посудить, то вращение планет вокруг звезды должно быть нестабильным: чуть дальше от звезды, и она должна улететь, чуть ближе и должна упасть на нее. Но этого не происходит, что-то невидимое стабилизирует орбитальную траекторию. Но что? Объясняя процесс стабильного вращения планет вокруг солнца, астрофизики говорят о таком явлении, как резонанс орбит и эффект пастуха, когда массивный объект, за каждый оборот вокруг звезды, "подправляет" орбиты более мелких объектов, которые так же вращаются вокруг центрального объекта. Давайте, представим себя на минутку Великим Создателем. Итак, вот мы слепили звезду размером с солнце, и 6-7 планет разного к
Источник: spaceworlds.ru
Источник: spaceworlds.ru

Меня со школьных лет всегда мучил один вопрос. Почему гравитация везде только притягивает, а планеты не падают на свои звезды, или почему звезды крутятся вокруг центра галактик, но все по отдельности? Или почему столкновение звезд происходит крайне редко, а если это случается, то это происходит с нейтронными звездами или черными дырами.

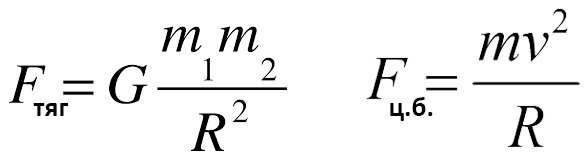
Силы тяготения и силы центростремительного ускорения по разному зависят от радиуса орбиты.
Силы тяготения и силы центростремительного ускорения по разному зависят от радиуса орбиты.

Ведь если посудить, то вращение планет вокруг звезды должно быть нестабильным: чуть дальше от звезды, и она должна улететь, чуть ближе и должна упасть на нее. Но этого не происходит, что-то невидимое стабилизирует орбитальную траекторию. Но что? Объясняя процесс стабильного вращения планет вокруг солнца, астрофизики говорят о таком явлении, как резонанс орбит и эффект пастуха, когда массивный объект, за каждый оборот вокруг звезды, "подправляет" орбиты более мелких объектов, которые так же вращаются вокруг центрального объекта.

Давайте, представим себя на минутку Великим Создателем. Итак, вот мы слепили звезду размером с солнце, и 6-7 планет разного калибра, не обязательно таких же, как планеты солнечной системы, а также небольшую "горсть" спутников планет, пыли, газа, комет, астероидов и т.п. Аккуратно расположим в пустом пространстве планеты вокруг звезды в произвольном порядке, но так, чтобы примерно было похоже на солнечную систему. Придадим каждому объекту скорость, согласно законам Кеплера и посмотрим как будут вести себя планеты. Есть два варианта: либо планеты "найдут" себе идеальное положение в системе, либо начнется хаос и цикличное движение планет нарушится.
Если следовать логике размышлений, то должен быть реализован первый вариант: то есть все устаканиться и планеты должны найти свою орбиту, ведь за время эволюции солнца от протопланетного диска до настоящего времени, это происходило именно по этому сценарию, иначе бы нас не существовало. Но если мы перенесем нашу модель в компьютер, применив законы, которые нам известны и запустим, то практика показывает, что эти системы не будут стабильны. Напрашивается вывод, что мы не учитываем какое-то очень важное явление, которые влияет на стабильность движения небесных тел.

Я долго размышлял над этим, рассматривая эту проблему в рамках своей гипотезы и пришел к следующему выводу:

Все небесные тела, вращающиеся вокруг центрального объекта, двигаются в потенциальных ямах. Эти потенциальные ямы образуются в результате нелинейного изменения энергии тела вблизи гравитирующих объектов, которая напрямую связана с его массой (E=mc^2). Другими словами, энергия (масса) орбитального тела находит оптимальное значение в изменяющемся гравитационном поле.
График 1. Синий график показывает зависимость убывания гравитационной силы 1/R^2, красным показан график убывания центробежных сил 1/R
График 1. Синий график показывает зависимость убывания гравитационной силы 1/R^2, красным показан график убывания центробежных сил 1/R

Если мы построим два графика зависимости силы притяжения и центростремительного ускорения от расстояния, то мы увидим, что сила притяжения будет изменяться быстрее, чем центробежная сила, поскольку сила притяжения обратно пропорциональна квадрату расстояния, а центробежная сила расстоянию в первой степени.

Стоит только планете уменьшить радиус орбиты, как сила притяжения возрастет на большее значение, чем центробежная сила. Или стоит планете увеличить свой радиус орбиты(по некоторым причинам), как сила гравитации станет меньше центробежных сил, и планета начнет уходить с орбиты.

Эту ситуацию движения по орбите можно сравнить с движением шарика не по впадине, а по концентрическому гребню, как показано на рисунке, другими словами это движение должно быть неустойчивым, и любое возмущение должно вызвать дестабилизацию орбиты.

Баланс сил гравитации и центробежных сил неустойчив.
Баланс сил гравитации и центробежных сил неустойчив.

Но в жизни мы видим, что планеты двигаются себе ровненько и никакие дестабилизирующие факторы, такие как солнечный ветер, парад планет и т.п. не влияют на устойчивость орбит.

Рассмотрим это движение с точки зрения гипотезы.

Пространственно-временная структура имеет разную плотность возле массивных объектов, и чем ближе к звезде, тем эта структура более растянута.

Возле массивных объектов, пространство растянуто больше, чем на отдалении, это влияет на энергию массы покоя удаленных планет, рассчитываемую по формуле E=mc^2
Возле массивных объектов, пространство растянуто больше, чем на отдалении, это влияет на энергию массы покоя удаленных планет, рассчитываемую по формуле E=mc^2

Другие объекты, вроде планет и астероидов попадая в эти растянутые области приобретают меньшую массивность, чем на отдаленных расстояниях от звезды. Таким же образом, приближаясь к звезде, полная энергия планеты (E=mc^2) будет немного уменьшаться, а при удалении - увеличиваться, тем самым немного изменяя свою массивность.

Представим, что наша планета немного уменьшила свой радиус орбиты. Попав в более разреженное пространство, энергия планеты уменьшится, а значит и его масса. А раз уменьшилась масса, то его скорость должна немного увеличиться, потому что закон сохранения импульса никто не отменял (mV=const).

То есть, если масса планеты уменьшится, скажем на 1% (0,99*m), то и линейная скорость увеличится на обратную величину(1/0,99=1.01001).

А поскольку центробежная сила зависит от квадрата скорости, то ее значение будет уменьшаться не так быстро, как при постоянной массе и скорости.

Изменчивость массивности планет вблизи звезд приводит к тому, что гравитационные силы изменяются не так быстро, как центробежные. На графике ниже, представлено примерное нарастание гравитационных и центробежных сил.

График 2. Как видно, в случае с изменчивой массивностью планет, изменились тенденции. Синим отмечены силы гравитации, красным - центробежные силы.
График 2. Как видно, в случае с изменчивой массивностью планет, изменились тенденции. Синим отмечены силы гравитации, красным - центробежные силы.

При увеличении радиуса орбиты преобладают притягивающие силы звезды, при уменьшении радиуса орбиты возобладают центробежные силы. В обоих случаях, баланс этих сил возвращает планету на выделенную орбиту.

Только благодаря тому, что массивность тел зависит от плотности энергии пространственно-временной структуры (вакуума) то звезды, планеты, спутники и другие орбитальные объекты движутся по своим орбитам стабильно в течении многих миллионов и миллиардов лет. И планеты, в этом случае, двигаются в небольших потенциальных ямах, как показано на рисунке.

Благодаря изменчивости массивности тел, теперь планеты движутся вокруг звезд по потенциальным ямам, а не по гребням.
Благодаря изменчивости массивности тел, теперь планеты движутся вокруг звезд по потенциальным ямам, а не по гребням.

Естественно, в представленных графиках, кривые проведены в гиперболизированной пропорции, на реальных графиках эти линии почти параллельны. Я хотел лишь показать тенденции.

Поскольку это только гипотеза, необходимы расчеты зависимости изменения массивности планет от расстояния до своих звезд. Думаю, я скоро представлю эти численные выкладки на своем канале.

Спасибо за внимание!

Подписывайтесь, чтобы быть в курсе развития идей на данном канале, ставим лайки и делимся с друзьями. Вопросы и комментарии в конце статьи.

Михаил Н. Бровкин. 8 августа 2019г.