Найти в Дзене
Zadumka.xyz

Mizon, Original Skin Energy, Peptide 500, 1,01 ж. унц. (30 мл)

Точнее даже не столько про него, сколько про один единственный компонент, наличие которого в составе и повлияло на мою решимость иметь сей инструмент омоложения:
Mizon, Original Skin Energy, Peptide 500, 1,01 ж. унц. (30 мл) (Mizon, Original Skin Energy, Peptide 500, 1.01 fl oz (30 ml) Король пептидов, Copper Tripeptide-1(GHK-Cu, трипептид-1 меди), - самый действенный, самый изученный, на сегодняшний день, пептид в косметологии!
В результате исследований было доказано, что он эффективнее ретиноидов на 60% и витамина С на 50%!
Знаю, как вы не любите все эти исследования, формулы и схемы, но давайте все-таки немного остановимся на них. Не буду перегружать вас инфой, пробежимся кратенько по докладу, минут на сорок )))
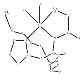
Итак, знакомьтесь, трипептид меди - молекула "глицил-гистидил-лизин". Когда на свою кожу вы наносите сыворотку (крем) с этим пептидом, у вас на лице начинает строиться вот такой каркас:
Почему трипептид - ТРИпептид?
Тут все элементарно - в молекуле три аминокислоты (г
Оглавление

Все, кто не любит Мизон, застрелитесь, - но я опять пришла вещать про него.
Точнее даже не столько про него, сколько про один единственный компонент, наличие которого в составе и повлияло на мою решимость иметь сей инструмент омоложения:

Mizon, Original Skin Energy, Peptide 500, 1,01 ж. унц. (30 мл)

(Mizon, Original Skin Energy, Peptide 500, 1.01 fl oz (30 ml)


(жмите на картинку)
(жмите на картинку)

Король пептидов, Copper Tripeptide-1(GHK-Cu, трипептид-1 меди), - самый действенный, самый изученный, на сегодняшний день, пептид в косметологии!

В результате исследований было доказано, что он эффективнее ретиноидов на 60% и витамина С на 50%!

Знаю, как вы не любите все эти исследования, формулы и схемы, но давайте все-таки немного остановимся на них. Не буду перегружать вас инфой, пробежимся кратенько по докладу, минут на сорок )))

Итак, знакомьтесь, трипептид меди - молекула "глицил-гистидил-лизин". Когда на свою кожу вы наносите сыворотку (крем) с этим пептидом, у вас на лице начинает строиться вот такой каркас:


Так выглядит молекула трипептида меди.
Так выглядит молекула трипептида меди.

Почему трипептид - ТРИпептид?
Тут все элементарно - в молекуле три аминокислоты (глицил-гистидил-лизин) скреплены ионом меди. Трипептид-1 меди является сигнальным пептидом! Напоминаю, что разновидностей пептидов на настоящий момент насчитываются уже десятки, сигнальными пептиды называются из-за своей способности оперативно реагировать на повреждения кожи.

"Батюшка, глицил-гистидил-лизин, помоги!"
Например, вы поранились о ветку дерева, на коже образовалась хорошая такая царапина, вы - в ужасе, кожа - в шоке, окружающие - в обмороке, но! Только не трипептид меди! Он всегда начеку! Протеолитические ферменты в месте ранения, как только видят страшную картину клубящейся крови, рваных коллагеновых волокон, вытекающей лимфы и прочие кадры из фильма "Чужой", тут же несутся, сломя голову, к трипептиду меди с криками: "Батюшка, глицил-гистидил-лизин, помоги!" Отважный трипептид срочно несется к месту аварии, разворачивает там свою палатку с "Красным крестом" и как давай увеличивать синтез коллагена на 60%! Выработка увеличивается, волокна коллагена восстанавливаются, рана затягивается, все счастливы и довольны!

Он искал вещество для восстановления клеток печени, а нашел трипептид меди - для меня
Именно эту способность и отметили (не, не британские ученые, хотя они тоже проводили исследования), ученые разных университетов, первым из которых был американский исследователь Лорен Пикарт. Вообще, его интересовал совершенно другой вопрос - он искал вещество для восстановления клеток печени, а нашел трипептид меди - для меня))) В результате экспериментов он выявил, что под воздействием трипептида меди стареющие клетки печени начинают вырабатывать белки так, как будто они молодые, с таким же энтузиазмом и в таком же объеме. На это обстоятельство не могли спокойно смотреть не только косметологи, но и другие ученые, поэтому они тут же поставили ряд экспериментов, в результате которых выяснили:

  • copper tripeptide-1 эффективнее ретиноидов и витамина С более, чем на 50% - 20 женщин каждый день наносили на одно и то же место на своем бедре крем, содержащий трипептид, витамин С и ретиноиды. Потом качество их кожи и уровень коллагена определяли с помощью биопсии. Выяснили, что синтез коллагена у тех, кто наносил трипептид меди, увеличился на 70%, у тех, кто наносил витамин С и ретиноиды - на 50% и 40%, соответственно.
  • copper tripeptide-1 показал себя эффективным и относительно пигментации на лице - исследование с участием 40 женщин выявило, что трипептид меди работает лучше, чем крем, в составе которого витамин К.
  • copper tripeptide-1 избавляет от признаков фотостарения - исследования на женщинах в возрасте 50-60 лет показали, что крем с трипептидом меди повышает эластичность, уменьшает пигментацию и выраженность морщин. Результаты определялись с помощью биопсии и узи.

GHK-Cu ускоряет рост волос
Самое интересное - для любителей поускорять рост волос -
copper tripeptide-1 действительно ускоряет их рост! В результате исследований на мышах (простите, но я должна была это написать), где: мышке побрили спинку, сделали инъекции трипептида и стали наблюдать, выяснилось - за 25 дней в местах инъекций шерстка выросла гораздо сильнее.

И последнее, больше не буду мучить - в хоже исследований было доказано, что
GHK-Cu единственный из исследуемых проникает сквозь барьерные структуры рогового слоя кожи!

Все, хватит научных данных, переходим к предмету разговора - кто забыл, напоминаю, что все мы здесь сегодня собрались по случаю пептидной сыворотки от Мизон, в составе которой:
************************************************************************************
Water, methylpropanediol, butylene glycol, glycerin, pentylene glycol, peg-60 hydrogenated castor oil, 1,2-hexanediol, sodium hyaluronate, propanediol, ethylhexylglycerin, copper tripeptide-1, adenosine, beta-glucan, disodium edta, centella asiatica extract, houttuynia cordata extract, salvia hispanica seed extract, caprylyl glycol, acetyl hexapeptide-8, phenoxyethanol.
************************************************************************************
Купер трипептид-1, все, больше ничего не надо знать об этой сыворотке! Да-да, я вижу там бутиленгликоли, феноксиэтанолы и, вообще, эта сыворотка виновата во взрыве на Фукусиме. Мне до этих "этанолов" - фиолетово, равно как и фиолетово до центеллы азиатской, а она там есть; до гиалуронки, а она там тоже есть; бета-глюкана, а денозина, эти товарищи там тоже имеются. Там есть даже еще один пептид!

acetyl hexapeptide-8 - пептид-миорелаксант! Практически, "Ботокс". Меня он не интересует, если вам он важен - радуйтесь, праздник наступил и на вашей улице) Кратко: расслабляет мышцы в месте нанесения, из-за чего выраженность морщин сглаживается.

Как пользоваться пептидной сывороткой
Умылись, протонизровались, нанесли, сверху закрыли кремом. Куда уж проще.

Самое интересное - когда исчезнут морщины :-)
Не завтра! И даже не послезавтра! И даже не через месяц! Морщины при регулярном ПРАВИЛЬНОМ использовании сыворотки станут менее выраженными месяца через два, а лучше три. Вы сейчас будете говорить, ну как же, ты же сама сказала выше, что за 20 дней у исследуемых женщин все проситензировалось, разгладилось и помолодело. Нет, ребятки, у этих женщин увеличился синтез коллагена на 70%! А какова изначально была глубина морщин, никто не замерял. Посему, я рекомендую не ждать чудес имени Бенджамина Баттона за полторы недели, а приготовиться к нудной ежедневной рутине. Тем более, что - это общеизвестный факт - пептидам нужно время! Это не уколы и не операция, когда зашла старушкой, вышла молодушкой.

Относительно себя - прицельно не ставила задачи избавиться от какой-то конкретной морщины и не следила за ее исчезновением. Пептиды - это вклад в будущее. Это профилактика и работа на результат потом. С этой целью я и купила сыворотку, ну, и еще потому, что  я люблю Мизон)))))) и вообще корейцев (не мужиков, - косметику).

О сыворотке:
Приходит в коробке, которую я, в лучших традициях хорроров, разорвала так, что кажется, будто ее терзали тысячи маленьких злобных жуков-короедов. Нафиг они запечатывают сыворотки, как ядерные боеголовки..........?
О сыворотке: Приходит в коробке, которую я, в лучших традициях хорроров, разорвала так, что кажется, будто ее терзали тысячи маленьких злобных жуков-короедов. Нафиг они запечатывают сыворотки, как ядерные боеголовки..........?
Ладно, бог с ней, с коробкой. Флакон - стекло, не богемское, корейское, но все же. Внутри пипетка. Набирает хорошо, не плюется. Все выдавливается, выжимается, набирается.

Впитывается великолепно, без липкости и прочей лабуды. Ничего не стягивает. Очень удобна! Я - вообще, любитель сывороток, на мне они лежат гораздо комфортнее.
Ладно, бог с ней, с коробкой. Флакон - стекло, не богемское, корейское, но все же. Внутри пипетка. Набирает хорошо, не плюется. Все выдавливается, выжимается, набирается. Впитывается великолепно, без липкости и прочей лабуды. Ничего не стягивает. Очень удобна! Я - вообще, любитель сывороток, на мне они лежат гораздо комфортнее.

Одним словом, мои обожания и низкопоклонный респектос!

-6