Найти в Дзене

Химия - с нуля! 2-й шаг. Моли - что за звери такие?! Учимся работать с количеством вещества

Вы хотите познавать химию и профессионально, и с удовольствием? Тогда вам сюда! Автор методики системно-аналитического изучения химии Богунова В.Г. раскрывает тайны решения задач, делится секретами мастерства при подготовке к ОГЭ, ЕГЭ, ДВИ и олимпиадам Никогда не думала, что моя статья "Химия - с нуля! 1-й шаг ...", адресованная желторотикам - тем, кто только начинает изучать химию, взбудоражит огромную армию ... коллег-репетиторов! На меня обрушился целый шквал писем, звонков и комментариев, начиная от дико восторженных и заканчивая не менее дико негодующими. Последние - более интересные. Расскажу подробнее. Одна коллега-дама проверяла каждую букву и цифру публикации, после чего оставила комментарий о том, что в статье, в основном, написано все правильно, кроме отдельных уточнений, которые она, как проверяющий, приводит (дама, наверное, завуч школы или представитель клана экспертов). Коллега-мужчина хихикал в комментариях по поводу ЛИКБЕЗа (видимо, его первым словом было не "мама", а

Вы хотите познавать химию и профессионально, и с удовольствием? Тогда вам сюда! Автор методики системно-аналитического изучения химии Богунова В.Г. раскрывает тайны решения задач, делится секретами мастерства при подготовке к ОГЭ, ЕГЭ, ДВИ и олимпиадам

Никогда не думала, что моя статья "Химия - с нуля! 1-й шаг ...", адресованная желторотикам - тем, кто только начинает изучать химию, взбудоражит огромную армию ... коллег-репетиторов! На меня обрушился целый шквал писем, звонков и комментариев, начиная от дико восторженных и заканчивая не менее дико негодующими. Последние - более интересные. Расскажу подробнее. Одна коллега-дама проверяла каждую букву и цифру публикации, после чего оставила комментарий о том, что в статье, в основном, написано все правильно, кроме отдельных уточнений, которые она, как проверяющий, приводит (дама, наверное, завуч школы или представитель клана экспертов). Коллега-мужчина хихикал в комментариях по поводу ЛИКБЕЗа (видимо, его первым словом было не "мама", а "циклопентанпергидрофенантрен"). Еще одна коллега просто билась в падучей, настрочив более десятка возмущенных комментариев по поводу авторской технологии алгоритмов решения задач по химии. Чтобы привести в чувство нервную громко орущую мадам, пришлось отправить ее на три буквы - в БАН.

Хочу обратиться к тем преподавателям, кто болезненно реагируют на мои публикации: либо вообще не читайте статьи (они пишутся для учеников - не для вас), либо не пишите глупости в комментариях, чтобы потом краснеть на пришлось - ваши ученики тоже читать умеют.

Однако, вернемся к основной теме публикации и поговорим о количестве вещества (моль) - важном понятии, необходимом для проведения расчетов. Особо отмечу: моль - это понятие, которым должна пропитаться каждая клетка, каждый кровеносный и лимфатический сосуд нашего организма, если, конечно, мы хотим изучить и полюбить химию!

Конспект репетитора

Количество вещества (моль) определяется числом частиц, из которых состоит данное вещество (атомов, молекул, ионов), и обозначается греческой буквой "ню". Один моль содержит число Авогадро частиц.

Термины "моль" и "молекула" - однокоренные, они произошли от латинского слова "moles". В XVII в. появился термин "молекула" (маленькая масса). Понятие "моль" (большая масса, порция) появилось в начале XX в. Автор термина "моль" - немецкий химик и физик Вильгельм Оствальд.

Молярная масса - масса 1 моля вещества, то есть отношение массы вещества к его количеству, выраженное в г/моль.

Именно так дается определение понятия количества вещества в каждом школьном учебнике. Наверное, мы, взрослые дяди и тети, учителя, преподаватели и репетиторы, это определение даже читать не будем. Но как быть детям, которые только начинают изучать химию?! Они, конечно, все это постараются запомнить, потому как невозможно понять и пропитаться сухим определением количества вещества.

Я часто спрашиваю ребят, учеников 9-11-х классов, которые только начинают работать со мной, как они представляют себе понятие "моль". С чем можно провести аналогию? Как "по-детски" объяснить? Скажу честно, мало кто, хотя бы, пытался предложить версию. Большинство желторотиков просто пожимают плечами. И тогда я рассказываю им сюжет, придуманный мною для такого случая.

Звонит мне завуч Предуниверсария и просит взять учеников 10-А класса на занятие по изучению технологии написания окислительно-восстановительных реакций методом электронно-ионного баланса. Я соглашаюсь, но оговариваю, что количество посадочных мест у меня ограничено. Завуч предлагает разместить 600 кг учеников (извините за образ, но так более понятно). Я растерялась. Откуда я могу знать, кто стоит за этой массой - 6 крутых мальчиков-культуристов или 15 худеньких девочек-отличниц?! Естественно, я предложила завучу оговорить КОЛИЧЕСТВО учеников, но не их МАССУ. Кстати, если бы я знала средний вес ученика 10-А класса, то могла бы посчитать их КОЛИЧЕСТВО. Так и в химии. Посмотрите на состав молекул или на коэффициенты в уравнения реакций. Везде мы видим КОЛИЧЕСТВО атомов, молекул, ионов. Потому химики и придумали понятие "моль", чтобы при расчетах мы могли использовать именно количество вещества участников процесса. По массам (или объемам) веществ невозможно сделать расчеты (я же не могла определить число посадочных мест для 600 кг учеников). Поэтому первый шаг любых расчетов в химии - определение количества вещества!

Попробуем провести аналогию между абстрактным понятием "количество вещества (моль)" и конкретным образом (предметом), который можно легко представить.

Количество вещества (моль) можно сравнить с мешком яблок (груш, вишен и др.), в котором находится строго определенное число фруктов (например, 100). Эти мешки будут иметь разную массу (и объем), потому что каждый фрукт имеет свой вес. Но число фруктов в мешке будет всегда одним и тем же (мы придумали 100). Кстати, хозяева крупных агрохолдингов, в отличие от дачников, не считают фрукты поштучно, они считают их мешками (ящиками) или даже вагонами. Вот вам и аналогия: 1 моль любого вещества, в котором всегда строго определенное число Авогадро частиц, аналогичен, например, одному мешку любых фруктов, в котором всегда строго одно и тоже число вкуснятин.

Надеюсь, придуманный сюжет и образное сравнение помогут вам понять смысл количества вещества (моль). Однако, это только начало. Самое интересное вас ждет в следующих статьях и на моих занятиях!

Попробуйте решить задачу, уровень сложности которой ограничен исключительно понятием количества вещества.

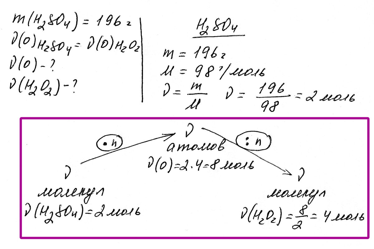
Задача

Определите количество вещества атомов кислорода в 196 г серной кислоты. В каком количестве вещества пероксида водорода содержится такое же количество вещества атомов кислорода?

Что такое? Не получается?! Чего-то не хватает в разделе "Конспект репетитора"?! Вы абсолютно правы! Я, конечно, покажу решение задачи по авторской технологии, однако, сомневаюсь, что без моей помощи вы разберетесь с логической формулой (обведена розовым), поймете ее, запомните и будете использовать в дальнейших расчетах. Не волнуйтесь, в следующей статье мы продолжим изучение количества вещества, освоим обведенную формулу, и задача решится сама собой!

-2
Пишите мне в WhatsApp +7(903)186-74-55, я отвечу вам обязательно.
Приходите ко мне на занятия, я помогу вам фундаментально изучить химию и биологию, научу решать любые задачи, даже самые сложные.

Репетитор по химии и биологии кбн В.Богунова