Найти в Дзене
Марк0фИнвест

Тестируем скользящие средние на "ВТБ"

Приветствую вас, дорогие читатели. В сегодняшней статье мы проверим доходность торговой системы на исторических данных акций "ВТБ". В основе такой стратегии лежит пересечение 3 экспоненциальных скользящих средних (EMA). Тестирую такую же стратегию на акциях "Газпрома" тут. Тестирую такую же стратегию на акциях "Сбербанка" тут. Что такое экспоненциальное скользящее среднее (EMA)? EMA — экспоненциальное скользящее среднее. Частный случай взвешенного скользящего среднего. Вычисляется по следующей формуле: В данной формуле r – весовой коэффициент в интервале от 0 до 1, отражающий скорость старения прошлых данных: чем выше его значение, тем больший удельный вес имеют новые наблюдения случайной величины, и тем меньший старые; At – значение случайной величины в период времени t, EMAt-1 – значение экспоненциального скользящего среднего в период времени t-1. Вес либо берется методом подбора, либо вычисляется по формуле:  r=2/(N+1). Где N — период сглаживания. Еще один важный момент в формуле
Оглавление

Приветствую вас, дорогие читатели. В сегодняшней статье мы проверим доходность торговой системы на исторических данных акций "ВТБ". В основе такой стратегии лежит пересечение 3 экспоненциальных скользящих средних (EMA).

Тестирую такую же стратегию на акциях "Газпрома" тут.

Тестирую такую же стратегию на акциях "Сбербанка" тут.

Что такое экспоненциальное скользящее среднее (EMA)?

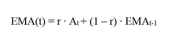
EMA — экспоненциальное скользящее среднее. Частный случай взвешенного скользящего среднего. Вычисляется по следующей формуле:

Формула EMA
Формула EMA

В данной формуле r – весовой коэффициент в интервале от 0 до 1, отражающий скорость старения прошлых данных: чем выше его значение, тем больший удельный вес имеют новые наблюдения случайной величины, и тем меньший старые; At – значение случайной величины в период времени t, EMAt-1 – значение экспоненциального скользящего среднего в период времени t-1. Вес либо берется методом подбора, либо вычисляется по формуле:  r=2/(N+1). Где N — период сглаживания. Еще один важный момент в формуле EMA: для его расчета в период времени t необходимо знать его значение в предыдущем периоде времени t-1. Поэтому в качестве первого значения берется SMA (простое скользящее среднее) с тем же самым интервалом сглаживания. Для лучшего понимания этой формулы давайте посмотрим на таблицу ниже:

Расчет EMA
Расчет EMA

По таблице видно, что вычислено EMA для интервалов сглаживания 4 и 5. Предположим, что изначальное значение периода сглаживание 4. Тогда вычисляем вес по формуле выше (2/5 = 0,4). В качестве первого значения, как уже было сказано, берется значение SMA с тем же самым интервалом сглаживания (т.е. при периоде 4 SMA = EMA = (3+4+2+8)/4 = 4,25). Далее по формуле вычисляем EMA для периода 5: 7*0,4 + (1-0,4)*4,25 = 5,35. Стоит заметить, что чем больше период сглаживания, тем более плавным выглядит график любого скользящего среднего. Также дается меньше сигналов для покупки (о них поговорим позднее), они больше запаздывают, но при этом являются более точными.

Суть торговой стратегии

Для понимания смысла торговой системы наложим 3 экспоненциальных средних на график акций "ВТБ":

График акций "ВТБ" с 3 EMA
График акций "ВТБ" с 3 EMA

На картинке можно заметить синюю EMA с периодом 14, красную - с периодом 28 и зеленую - с периодом 63. Напомню, что чем больше период сглаживания и чем больше период самого графика, тем меньше ложных сигналов будет, как и самих сигналов в целом. Условием покупки считалось пересечение EMA с самым маленьким периодом EMA с большими периодами. Если «мелкое» EMA пересекало «большие» EMA снизу вверх, то я покупал бумаги по ценам закрытия дня. Если сверху вниз — то я выходил из позиции также по ценам закрытия дня. При этом я никогда не «шортил», а входил только в long-позицию. Дивиденды и комиссии не учитывались. Посмотрим, что получилось.

Что в итоге?

Итоговый результат тестов
Итоговый результат тестов

Если трейдер (инвестор) входил в сделку, используя только три EMA и их пересечение, то он бы заработал за 12 лет 35 % от изначальной суммы. За это время он получил бы 21 сигнал, из которых 15 были убыточными, а 6 выгодными. Максимальный убыток по сигналу всего -13,83%, средний убыток по ложным сигналам -6,45%. Максимальная прибыль по сигналу 79,14%, средняя прибыль по правильным сигналам 26,91 %. Стоит отметить, что вход в позицию выполнялся только при действительном пересечении EMA, то есть с небольшим запаздыванием, чтобы симулировать более реальные условия. Последняя сделка еще не закрыта, так как не было пересечения «больших» EMA «короткой» сверху вниз:

Последний сигнал на графике акций "ВТБ" еще не "закрыт"
Последний сигнал на графике акций "ВТБ" еще не "закрыт"

Для акций «ВТБ» обычная стратегия buy-and-hold, начиная с момента выхода бумаг на биржу, оказалась убыточной. «Актив» потерял за 12 лет треть своей стоимости. В то же время торговая система, основанная на пересечении скользящих средних, принесла почти 35 %. Конечно, доходность за такое время оставляет желать лучшего. Но в любом случае скользящие средние даже на падающей в общем бумаге выдали удовлетворительные сигналы.

Вывод

Я не нашел грааль, но просто показал еще на одном примере, что простая стратегия со скользящими средними может принести хоть какой-нибудь доход даже на падающей бумаге при минимальных времязатратах. Проверю итоговый результат еще на нескольких бумагах. Кому было интересно — порекомендуйте меня, пожалуйста, друзьям и подпишитесь.

Спасибо за внимание. С вами был Марков Артем!