Добавить в корзинуПозвонить
Найти в Дзене
лишние мысли

2 = 4

Однажды на ютубе набрёл на интересный ролик. В нём автор, в частности, разбирал "доказательство" парадоксального факта, что 2 = 4. Сперва не совсем понял, в чём тут дело, так что пришлось сделать определенное мыслительное усилие, чтобы разобраться в сути. Чтобы оно не пропало втуне, запишу результат здесь. (Собственно, уже при взгляде на заставку понятно, о чём пойдет речь) Сначала познакомимся с такой полезной вещью, как стрелочная нотация Кнута. Она позволяет записывать операцию возведения в степень следующим образом:
xⁿ := x↑n
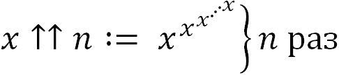
Это удобно в некоторых случаях (например, когда, как здесь, текстовый редактор не предоставляет нормального средства набора формул), но основное преимущество такого способа записи проявляется дальше. А дальше можно записать x↑↑n - за этой конструкцией скрывается целая степенная башня из n иксов:
x↑↑n := x↑x↑...↑x
которая, кстати, вычисляется справа налево, например:
x↑↑4 = x↑x↑x↑x = x↑(x↑(x↑x)) Понятно, что этот ад можно продолжить и записать x↑ᵐn, но нам для

Однажды на ютубе набрёл на интересный ролик. В нём автор, в частности, разбирал "доказательство" парадоксального факта, что 2 = 4. Сперва не совсем понял, в чём тут дело, так что пришлось сделать определенное мыслительное усилие, чтобы разобраться в сути. Чтобы оно не пропало втуне, запишу результат здесь.

(Собственно, уже при взгляде на заставку понятно, о чём пойдет речь)

Сначала познакомимся с такой полезной вещью, как стрелочная нотация Кнута. Она позволяет записывать операцию возведения в степень следующим образом:
xⁿ := x↑n
Это удобно в некоторых случаях (например, когда, как здесь, текстовый редактор не предоставляет нормального средства набора формул), но основное преимущество такого способа записи проявляется дальше. А дальше можно записать x↑↑n - за этой конструкцией скрывается целая степенная башня из n иксов:
x↑↑n := x↑x↑...↑x
которая, кстати, вычисляется справа налево, например:
x↑↑4 = x↑x↑x↑x = x↑(x↑(x↑x))

Тетрация, записанная в стрелочной нотации Кнута.
Тетрация, записанная в стрелочной нотации Кнута.

Понятно, что этот ад можно продолжить и записать x↑ᵐn, но нам для дальнейших рассуждений вполне хватит двух стрелочек, конструкция с которыми, кстати, называется тетрацией.

Итак, рассмотрим функцию F(x), заданную следующим образом:
F(x) := lim (x↑↑n) при n, стремящемся к бесконечности.

Эта функция, которую формально можно записать в виде бесконечной степенной башни F(x) := x↑x↑x↑..., обладает интересными свойствами.

Во-первых, она не везде "улетает" в бесконечность. В частности, при x = 1 получаем F(1) = 1↑1↑1↑... = 1. В малой окрестности единицы, как показывают эксперименты, тетрации x↑↑n тоже сходятся к конечному пределу. Например, для x = 1.1:
x↑↑1 ≈ 1.1105342
x↑↑2 ≈ 1.1116498
x↑↑3 ≈ 1.1117680
x↑↑4 ≈ 1.1117805
x↑↑5 ≈ 1.1117818
x↑↑6 ≈ 1.1117819
x↑↑7 ≈ 1.1117820

и т. д.

Во-вторых, рассмотрим уравнение:
F(x) = a
Это уравнение достаточно легко решить:
ln F(x) = ln a
F(x) ∙ ln x = ln a
a ∙ ln x = ln a
ln x = ln (a↑(1/a))
x = a↑(1/a)

А дальше начинаются сложности.

Действительно, пусть a = 4.
Решением уравнения
F(x) = 4 будет число x = 4↑(1/4) = √4 = √2, и кажется, что всё хорошо.
Ладно, пусть теперь
a = 2.
Решением уравнения
F(x) = 2, очевидно, является число x = 2↑(1/2) = √2 - опять?!
Получается,
4 = F(√2) = 2, и это уже никуда не годится.

Как выяснилось, дело тут вот в чём. Если попытаться построить график функции F(x), то окажется, что область определения этой функции заключена целиком между точками 1/e и e↑(1/e). Больше того, и область значений тоже ограничена сверху числом e.

График функции F(x). Подчеркнём особо: справа не вертикальная асимптота, а конечное значение: F(ᵉ√e) = e.
График функции F(x). Подчеркнём особо: справа не вертикальная асимптота, а конечное значение: F(ᵉ√e) = e.

То есть, ни при каких значениях аргумента функция не сможет принять значение больше основания натурального логарифма, или, говоря по-русски, уравнение F(x) = 4 решений не имеет (как это ни удивительно).