Добавить в корзинуПозвонить
Найти в Дзене
Fixin

Сколько киловатт в месяц?

Многих смущает, что я плачу 3000 рублей в месяц за свет.А сколько ваша семья потребляет киловатт?
Под катом показания моего счетчика помесячно. В реднем выходит 450 киловатт в месяц.
Текущий тариф за киловатт 5,38 рублей и с 1 июля 5,56 рублей.
Получается за месяц где-то 2421 рубля.
А ваша семья сколько тратит киловатт в месяц? Зимой мы тратим больше киловатт, потому что используем обогреватель.
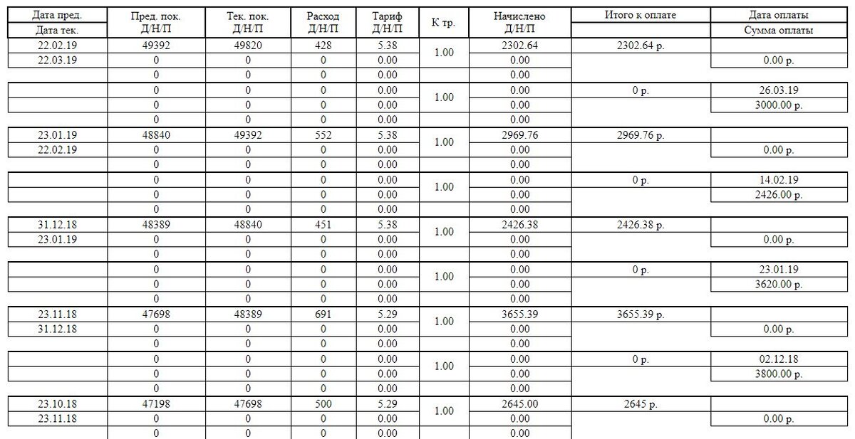
Начисления мне зимой:
Начисления мне летом (300-200):
Показания счетчиков:
22.04.19 50274
22.03.19 49820
22.02.19 49392
23.01.19 48840
25.12.18 48262
23.11.18 47698
22.09.18 46709
24.06.18 45760
25.03.18 44513
24.02.18 43747
22.01.18 43003
24.12.17 42371
24.10.17 41113
24.09.17 40640
25.08.17 40312
26.07.17 40056
23.06.17 39782
23.05.17 39424
21.04.17 38938
25.03.17 38500
21.02.17 38007
21.12.16 36744
21.11.16 36149
24.10.16 35535
25.08.16 34853
26.07.16 34558
26.06.16 34231
24.05.16 33803
23.01.16 31634
23.11.15  30437

Многих смущает, что я плачу 3000 рублей в месяц за свет.А сколько ваша семья потребляет киловатт?

Под катом показания моего счетчика помесячно. В реднем выходит 450 киловатт в месяц.
Текущий тариф за киловатт 5,38 рублей и с 1 июля 5,56 рублей.

Получается за месяц где-то 2421 рубля.

А ваша семья сколько тратит киловатт в месяц? Зимой мы тратим больше киловатт, потому что используем обогреватель.

Начисления мне зимой:

Начисления мне летом (300-200):

Показания счетчиков:

22.04.19 50274
22.03.19 49820
22.02.19 49392
23.01.19 48840
25.12.18 48262
23.11.18 47698
22.09.18 46709
24.06.18 45760
25.03.18 44513
24.02.18 43747
22.01.18 43003
24.12.17 42371
24.10.17 41113
24.09.17 40640
25.08.17 40312
26.07.17 40056
23.06.17 39782
23.05.17 39424
21.04.17 38938
25.03.17 38500
21.02.17 38007
21.12.16 36744
21.11.16 36149
24.10.16 35535
25.08.16 34853
26.07.16 34558
26.06.16 34231
24.05.16 33803
23.01.16 31634
23.11.15  30437