Найти в Дзене
Югория Маркетинг

Пример расчёта износа

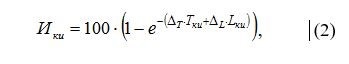
Сейчас приведём пример расчёта для автомобиля CHERY T11 TIGGO 2013 года выпуска. Что мы имеем? · автомобиль – CHERY T11 TIGGO; · год выпуска – 2013; · пробег – 85251 км; · дата ДТП – 18 февраля 2019г. Как рассчитывается износ? где: Ики- износ комплектующего изделия;
е - основание натуральных логарифмов (е ≈ 2,72);
∆T - коэффициент, учитывающий влияние на износ комплектующего изделия его возраста;
Тки - возраст комплектующего изделия;
∆L - коэффициент, учитывающий влияние на износ комплектующего изделия величины пробега ТС с этим комплектующим изделием;
Lки - пробег ТС с комплектующим изделием.
Значения коэффициентов ∆T и ∆L для ТС различных категорий и марок приведены в приложении 5 Методики.
На примере автомобиля CHERY T11 TIGGO, значения коэффициентов будут следующие:
е ≈ 2,72;
∆T = 0,057;
Тки = 6 (лет);
∆L = 0,0029;
Lки = 85,25 (тыс. км).
По этой формуле получается, износ = 44,52%.
Если деталь в среднем стоит 3605 рублей (по справочнику РСА), то для н

Сейчас приведём пример расчёта для автомобиля CHERY T11 TIGGO 2013 года выпуска. Что мы имеем?

· автомобиль – CHERY T11 TIGGO;

· год выпуска – 2013;

· пробег – 85251 км;

· дата ДТП – 18 февраля 2019г.

Как рассчитывается износ?

где:

Ики- износ комплектующего изделия;
е - основание натуральных логарифмов (е ≈ 2,72);
∆T - коэффициент, учитывающий влияние на износ комплектующего изделия его возраста;
Тки - возраст комплектующего изделия;
∆L - коэффициент, учитывающий влияние на износ комплектующего изделия величины пробега ТС с этим комплектующим изделием;
Lки - пробег ТС с комплектующим изделием.
Значения коэффициентов ∆T и ∆L для ТС различных категорий и марок приведены в приложении 5 Методики.
На примере автомобиля CHERY T11 TIGGO, значения коэффициентов будут следующие:
е ≈ 2,72;
∆T = 0,057;
Тки = 6 (лет);
∆L = 0,0029;
Lки = 85,25 (тыс. км).
По этой формуле получается, износ = 44,52%.
Если деталь в среднем стоит 3605 рублей (по справочнику РСА), то для нашего примера по методичке стоимость детали с учетом износа будет 2000,05 рублей.