Добавить в корзинуПозвонить
Найти в Дзене
Vseznayka

Практика. Математика. Классы функций. Векторная функция скалярного аргумента.

Приветствую всех. Наверно все с нетерпением ждали следующую часть посвящённую классам функций (кто забыл, ссылка будет в конце урока). Надеюсь никто не забыл что обозначают слова "скаляр" и "вектор" и как они определяют нашу функцию и аргумент(ы) функции. В общем должно быть интереснее чем в прошлый раз. Напомню, что векторная функция, это не скалярная (очевидно). Векторная функция скалярного аргумента представляется в виде матрицы или разложена через орты, при этом у неё одна переменная. Рассмотрим на примере. Если вы прочли внимательно всё что написано выше, то наверняка нашли её без затруднений, под цифрой 3. Функция сама представлена в виде матрицы что соответствует векторной функции, зависит она от одной переменной "икс" что соответствует скалярному аргументу. Осталось самое интересное, вычислить дифференциал. Он находится как и для обычной функции, только нам вместо одной производной, придётся вычислить две, ведь пример наш представлен в виде матрицы. Приступим к оформлению реше

Приветствую всех. Наверно все с нетерпением ждали следующую часть посвящённую классам функций (кто забыл, ссылка будет в конце урока). Надеюсь никто не забыл что обозначают слова "скаляр" и "вектор" и как они определяют нашу функцию и аргумент(ы) функции. В общем должно быть интереснее чем в прошлый раз.

Напомню, что векторная функция, это не скалярная (очевидно). Векторная функция скалярного аргумента представляется в виде матрицы или разложена через орты, при этом у неё одна переменная. Рассмотрим на примере.

Функции взяты с прошлого урока.
Функции взяты с прошлого урока.

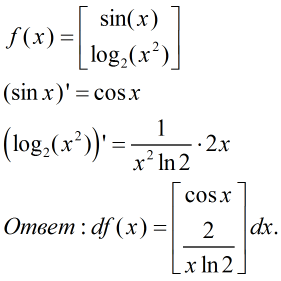
Если вы прочли внимательно всё что написано выше, то наверняка нашли её без затруднений, под цифрой 3. Функция сама представлена в виде матрицы что соответствует векторной функции, зависит она от одной переменной "икс" что соответствует скалярному аргументу. Осталось самое интересное, вычислить дифференциал. Он находится как и для обычной функции, только нам вместо одной производной, придётся вычислить две, ведь пример наш представлен в виде матрицы. Приступим к оформлению решения.

Вот это уже серьёзно. Целых четыре строчки решение. Объяснять в данном примере практически нечего, если только производные. В первой строчке матрицы стоит синус, по табличке если посмотреть, то производная от синуса это косинус. Во второй строчке логарифм "икс в квадрате" по основанию два, тут посложнее, производная сложной функции, в конце пришлось домножить нашу табличную производную на производную от "икс в квадрате". В ответе просто подставляем всё в матрицу и вставляем её в формулу дифференциала.
Вот это уже серьёзно. Целых четыре строчки решение. Объяснять в данном примере практически нечего, если только производные. В первой строчке матрицы стоит синус, по табличке если посмотреть, то производная от синуса это косинус. Во второй строчке логарифм "икс в квадрате" по основанию два, тут посложнее, производная сложной функции, в конце пришлось домножить нашу табличную производную на производную от "икс в квадрате". В ответе просто подставляем всё в матрицу и вставляем её в формулу дифференциала.

На данный момент должно быть всё предельно понятно. При таком раскладе можно переходить к следующему заданию.

Внимательно смотрим. Можно было сразу посмотреть на матрицу, но нет, там векторный аргумент. Тогда под цифрой 2. Переменная для нас необычная "t", но она одна и представлена через орты. Так что целиком и полностью подходит.
Внимательно смотрим. Можно было сразу посмотреть на матрицу, но нет, там векторный аргумент. Тогда под цифрой 2. Переменная для нас необычная "t", но она одна и представлена через орты. Так что целиком и полностью подходит.

Дифференциал берётся также как и в прошлом примере. Посмотрим решение.

Вспомнили как брать производную от косинуса в квадрате, расписали на произведение и далее воспользовались известной формулой. необычно было работать с такой функцией, но точно не сложно.
Вспомнили как брать производную от косинуса в квадрате, расписали на произведение и далее воспользовались известной формулой. необычно было работать с такой функцией, но точно не сложно.

На сегодня будет достаточно, ведь других вариаций векторной функции не встречается, мы рассмотрели основные два вида. Оставляйте свои пожелания, что можно добавить в такого плана занятия. Спасибо за внимание.

Другие темы: