Добавить в корзинуПозвонить
Найти в Дзене

Учимся решать задачи по химии!

Вы хотите научиться профессионально решать задачи по химии, фундаментально подготовиться к ЕГЭ, ДВИ, олимпиадам, получая удовольствие от самого процесса образования? Тогда, эта статья для вас! Обязательно прочитайте! Изучение алгоритмов решения задач - самый важный цикл в курсе любого естественнонаучного предмета, особенно в курсе химии.  Авторский курс «Решение задач по химии» включает изучение системы алгоритмических методов и приемов, используемых при решении задач.  На уроках химии в школе и на занятиях с репетиторами ученики тоже решают задачи. Чаще всего, это – тематические задачи с несложными алгоритмами. Обучение технике решения задач сводится, в лучшем случае, к натаскиванию на шаблонах алгоритмов, их запоминанию, анализу задач по уже готовым решениям. Комбинированные задачи обзываются «нерешаемыми». Их, действительно, не решают, потому как не умеют. Такой подход к обучению решения задач приводит, как правило, к полному их непониманию и даже отторжению.  Я учу работать по авт

Вы хотите научиться профессионально решать задачи по химии, фундаментально подготовиться к ЕГЭ, ДВИ, олимпиадам, получая удовольствие от самого процесса образования? Тогда, эта статья для вас! Обязательно прочитайте!

Изучение алгоритмов решения задач - самый важный цикл в курсе любого естественнонаучного предмета, особенно в курсе химии. 

Авторский курс «Решение задач по химии» включает изучение системы алгоритмических методов и приемов, используемых при решении задач. 

На уроках химии в школе и на занятиях с репетиторами ученики тоже решают задачи. Чаще всего, это – тематические задачи с несложными алгоритмами. Обучение технике решения задач сводится, в лучшем случае, к натаскиванию на шаблонах алгоритмов, их запоминанию, анализу задач по уже готовым решениям. Комбинированные задачи обзываются «нерешаемыми». Их, действительно, не решают, потому как не умеют. Такой подход к обучению решения задач приводит, как правило, к полному их непониманию и даже отторжению. 

Я учу работать по авторским оптимальным алгоритмам и самостоятельно строить рациональные алгоритмы, ускоряя решение и оформление задач в десятки раз.

Основу авторской технологии алгоритмики составляет триада: 

1) моделирование процесса по условию 
2) анализ системы на основе данных 
3) четкость оформления 

Решение каждой задачи происходит поэтапно -  на основе четырех логических шагов («заповедей»

1. Первая Заповедь. Выписать данные задачи в разделе «Дано» 
2. Вторая заповедь. Написать уравнения реакций
3. Третья заповедь. Сделать предварительные расчеты
4. Четвертая заповедь. Составить алгоритм решения 

Зная секреты технологии, можно решить задачу любого уровня сложности, даже если алгоритм этого задания включает абсолютно новые, еще не отработанные, приемы. 

Часто при первой встрече родители ученика говорят: «Химию мой ребенок знает неплохо (4-5 в школе), только задачи решать не может». Дорогие родители, не обижайтесь на горькую правду. Но… Ваш ребенок не знает химию. То, что он успел выучить (более точно, запомнить) – это обычный набор общеобразовательных сведений, которые никак не определяют знания предмета. 

·  Фундаментальное освоение химии возможно только путем формирования прочной системы анализа и логики. Огромное количество свойств веществ, зачастую похожих, запомнить невозможно, если ученик не научится мыслить логически, абстрагироваться
·  Понять химию можно только через «призму алгоритмики», при изучении которой развивается логика естественнонаучного мышления и формируется умение анализировать.

«Кто хорошо решает задачи по химии, тот в будущем станет отличным химиком, великолепным врачом-диагностом, блестящим судмедэкспертом»  ©

Примеры авторского решения задач

Задача 1 (ЕГЭ, 2018)

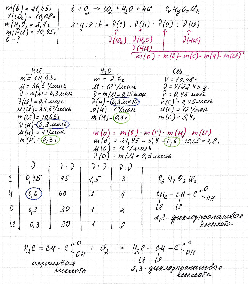
При сгорании 21,45 г органического вещества выделилось 10,08 л углекислого газа, 2,7 г воды и 10,95 г хлороводорода. Это вещество может быть получено реакцией присоединения галогена к соответствующей карбоновой кислоте.
На основании данных условия задания:
1) проведите необходимые вычисления (указывайте единицы измерения искомых физических величин) и установите молекулярную формулу исходного органического вещества;
2) составьте структурную формулу этого вещества, которая однозначно отражает порядок связи атомов в его молекуле;
3) напишите уравнение реакции получения данного вещества из карбоновой кислоты (используйте структурные формулы органических веществ)

Задача 2 (Диагностическая работа, 2019)

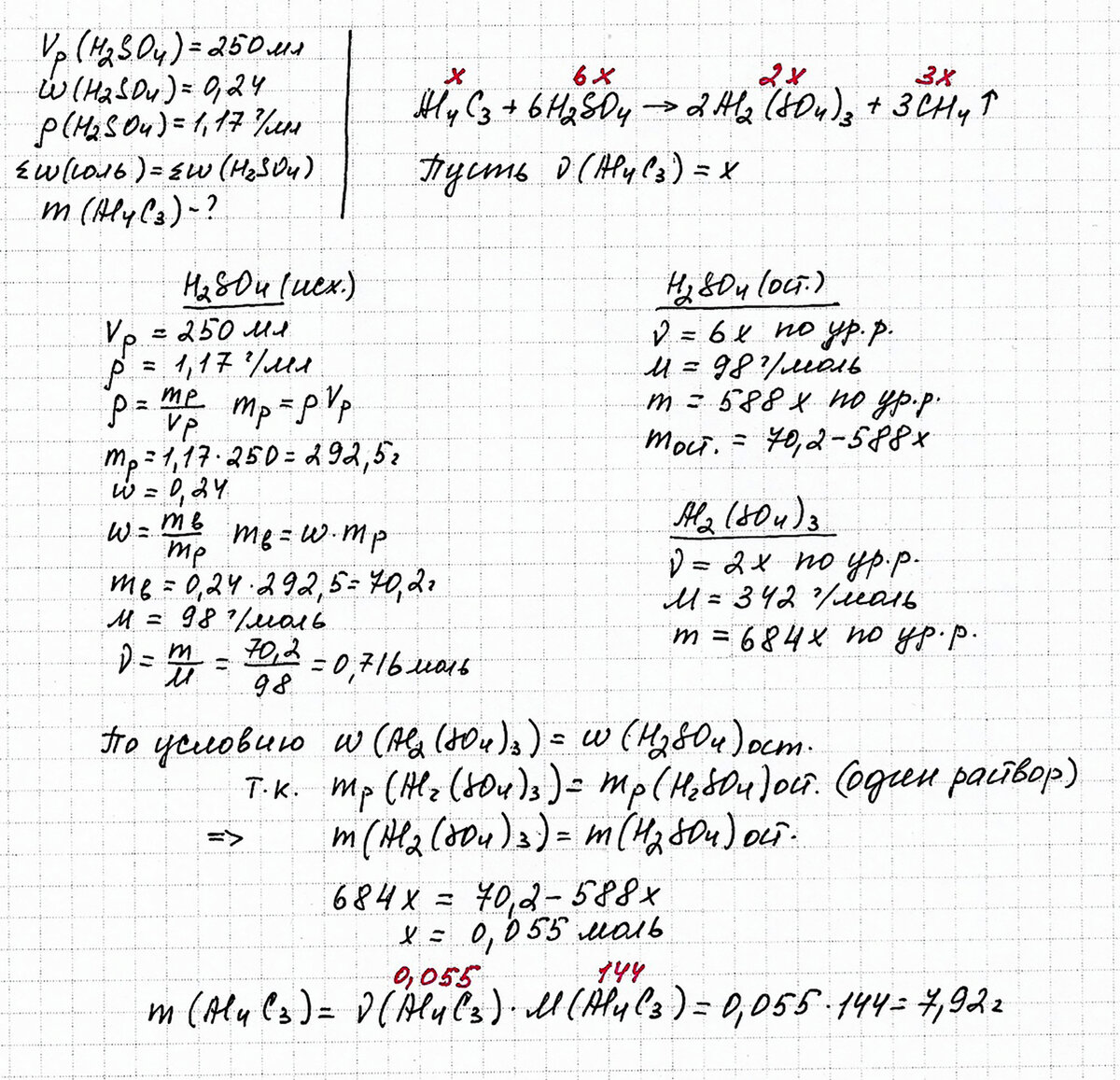
Сколько граммов карбида алюминия нужно добавить к 250 мл 24%-го раствора серной кислоты (плотность 1,17 г/мл), чтобы массова доля соли в полученном растворе стала равна массовой доле кислоты?
В ответе запишите уравнения реакций, которые указаны в условии задачи, и приведите все вычисления (указывайте единицы измерения физических величин)
-2

Задача 3 (Белавин, 2006)

Два из трех газов (сероводород, водород и кислород) смешали и получили газовую смесь, плотность которой оказалась равной плотности оставшегося газа. Полученную газовую смесь вместе с равным ей объемом третьего газа под давлением поместили в замкнутый сосуд емкостью 4 л, содержавший азот при н.у. и нагревали при 600°С до окончания химических реакций, затем постепенно охладили. Определите массы веществ, содержавшихся в сосуде после охлаждения, если плотность газовой смеси в сосуде перед нагреванием равнялась 9,25 г/л
-3

Приходите ко мне на авторский курс «Решение задач по химии», и вы справитесь с любыми экзаменационными заданиями!

+7 (903) 186-74-55

Вы хотите поступить в медицинский? Обязательно посетите мой сайт Репетитор по химии и биологии. Здесь вы найдете огромное количество задач, заданий, теоретического материала и познакомитесь с моими учениками, многие из которых уже давно закончили ВУЗы и, работая врачами, спасают наши с вами жизни.

Полный каталог статей репетитора Богуновой В.Г. вы найдете на странице сайта Статьи репетитора

Подписывайтесь на YouTube-канал Репетитор по химии и биологии. Здесь ежедневно появляются новые вебинары, видео-уроки, видео-консультации, видео-решения.

Репетитор по химии и биологии кбн В.Богунова