Добавить в корзинуПозвонить
Найти в Дзене
Vseznayka

Практика. Математика. Градиент функции.

Приветствую всех. Сегодня на занятии хотелось бы затронуть немало важную тему, связанную одновременно с дифференциальным исчислением и векторной алгеброй. Мы постараемся как можно меньше углубляться в теоретические тезисы и побольше сделаем упор на решение практических задач. Незамедлительно начнём. Определение слова "градиент" в математике нужно усвоить. Градиент - это вектор показывающий направление наибольшего возрастания функции. Модуль вектора градиента показывает скорость изменения функции. Запишем формулу для нахождения вектора градиента: При нашем раскладе можно с теорией закончить, этого будет достаточно. Разберём простенький примерчик для начала. Никто ведь не забыл как брать частные производные? Если подзабыли, ссылочка (на статью) будет в конце урока. Было слишком уж просто для нас, возьмём что-нибудь посложнее. Такого плана примеры уже устно не решишь, хотя... Нет, всё же возможно. Не будем перенапрягаться сильно, рассмотрим последний пример и пойдём отдыхать. Берёмся за
Приветствую всех. Сегодня на занятии хотелось бы затронуть немало важную тему, связанную одновременно с дифференциальным исчислением и векторной алгеброй. Мы постараемся как можно меньше углубляться в теоретические тезисы и побольше сделаем упор на решение практических задач. Незамедлительно начнём.

Определение слова "градиент" в математике нужно усвоить.

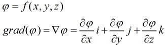
Градиент - это вектор показывающий направление наибольшего возрастания функции. Модуль вектора градиента показывает скорость изменения функции.

Запишем формулу для нахождения вектора градиента:

Функция представлена в нашем случае тремя переменными, имеет место быть и две переменных. "Что за заумный значок?" вы спросите. Этот перевёрнутый треугольничек имеет название "набла" и обозначает сумму частных производных по координатам, иначе его называют оператором Гамильтона. Хотите отдельную статью на эту тему? Пишите об этом в комментариях.
Функция представлена в нашем случае тремя переменными, имеет место быть и две переменных. "Что за заумный значок?" вы спросите. Этот перевёрнутый треугольничек имеет название "набла" и обозначает сумму частных производных по координатам, иначе его называют оператором Гамильтона. Хотите отдельную статью на эту тему? Пишите об этом в комментариях.

При нашем раскладе можно с теорией закончить, этого будет достаточно.

Разберём простенький примерчик для начала.

Действительно не сложно.
Действительно не сложно.

Никто ведь не забыл как брать частные производные? Если подзабыли, ссылочка (на статью) будет в конце урока.

Решается практически в одно действие, взяли частные производные по трём переменным, далее подставили в формулу и получили в формулу.
Решается практически в одно действие, взяли частные производные по трём переменным, далее подставили в формулу и получили в формулу.

Было слишком уж просто для нас, возьмём что-нибудь посложнее.

Уже интереснее.
Уже интереснее.

Такого плана примеры уже устно не решишь, хотя... Нет, всё же возможно.

Берём частные производные, как и в прошлом примере, после подставляем в формулу. Теперь у нас стоит задача найти длину вектора градиента в точке "М", для начала нужно подставить точку в наш вектор, таким образом получим градиент функции в точке. осталось найти длину. Вспоминаем, что длина вектора определяется через модуль, а модуль находится как сумма всех членов в квадрате под корнем квадратным.
Берём частные производные, как и в прошлом примере, после подставляем в формулу. Теперь у нас стоит задача найти длину вектора градиента в точке "М", для начала нужно подставить точку в наш вектор, таким образом получим градиент функции в точке. осталось найти длину. Вспоминаем, что длина вектора определяется через модуль, а модуль находится как сумма всех членов в квадрате под корнем квадратным.

Не будем перенапрягаться сильно, рассмотрим последний пример и пойдём отдыхать.

Функция не самая простая, это не должно нас пугать.
Функция не самая простая, это не должно нас пугать.

Берёмся за дело.

Сложно было брать только производные, остальное "пошло как по маслу", все синусы нам дали нули, остался только первый член в итоге длина вектора градиента получилась равной 1/3.
Сложно было брать только производные, остальное "пошло как по маслу", все синусы нам дали нули, остался только первый член в итоге длина вектора градиента получилась равной 1/3.
Не отчаиваемся что уже конец практики, у вас всегда есть возможность найти похожие задачки в интернете или взять в библиотеке задачник по высшей математике. Практикуйтесь, практикуйтесь, и ещё раз практикуйтесь. Спасибо за внимание.

Другие темы: