Добавить в корзинуПозвонить
Найти в Дзене
Vseznayka

Практика. Математика. Пределы (lim). Раскрытие неопределённости (0/0).

Продолжаем наш цикл занятий связанный с пределами. На сегодня мы будем раскрывать новый вид неопределённости ноль делённый на ноль. В обычной алгебре с нулём как вы уже знаете работают очень аккуратно, стараются как можно реже иметь с ним дело, а про бесконечности там всякие я уже молчу. Но в теории пределов этих ребят совсем не боятся. Только если получается ноль на ноль, то всё, тут обычная арифметика уже бессильна, поэтому математики нашли различного рода обходные пути решения этой проблемы. С которыми мы сейчас познакомимся. 1. Пожалуй проще способа не найти, будет ясно даже чайнику, жаль что использовать его получится не везде. метод заключается в разложении числителя и/или знаменателя по формулам сокращённого умножения. Не будем копошиться в теории, сразу рассмотрим на примере, решение распишем сразу. Хорошо, хорошо, уговорили, ещё один примерчик на закрепление. С "мелюзгой" можно побаловаться, но нам не стоит стопориться на этом, едем дальше. 2. И пяти минут не прошло, а мы раз
Продолжаем наш цикл занятий связанный с пределами. На сегодня мы будем раскрывать новый вид неопределённости ноль делённый на ноль. В обычной алгебре с нулём как вы уже знаете работают очень аккуратно, стараются как можно реже иметь с ним дело, а про бесконечности там всякие я уже молчу. Но в теории пределов этих ребят совсем не боятся. Только если получается ноль на ноль, то всё, тут обычная арифметика уже бессильна, поэтому математики нашли различного рода обходные пути решения этой проблемы. С которыми мы сейчас познакомимся.

1. Пожалуй проще способа не найти, будет ясно даже чайнику, жаль что использовать его получится не везде. метод заключается в разложении числителя и/или знаменателя по формулам сокращённого умножения. Не будем копошиться в теории, сразу рассмотрим на примере, решение распишем сразу.

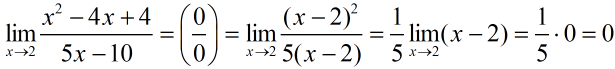
 Увидели неопределённость, дальше нашли корни числителя и разложили, вынесли константу в знаменателе, подсократили лишнее, подставили двойку, получили ответ ноль.
Увидели неопределённость, дальше нашли корни числителя и разложили, вынесли константу в знаменателе, подсократили лишнее, подставили двойку, получили ответ ноль.

Хорошо, хорошо, уговорили, ещё один примерчик на закрепление.

В этом примерчике уже поигрались с разностью кубов, главное тут это заметить. В числителе мы вынесли константу, дальше видна формула, мы расписали на две скобки. В знаменателе вынесли константу, после нашли корни знаменателя, расписали на две скобки, подсократили лишнее, подставили троечку, получили конечный ответ. Ура!
В этом примерчике уже поигрались с разностью кубов, главное тут это заметить. В числителе мы вынесли константу, дальше видна формула, мы расписали на две скобки. В знаменателе вынесли константу, после нашли корни знаменателя, расписали на две скобки, подсократили лишнее, подставили троечку, получили конечный ответ. Ура!

С "мелюзгой" можно побаловаться, но нам не стоит стопориться на этом, едем дальше.

2. И пяти минут не прошло, а мы разбираемся со вторым методом. Он предназначен для пределов с иррациональностями, проще говоря, там, где присутствуют квадратные корни или кубические, вообще корни любой степени. Распознать примеры такого плана совсем не сложно. Видите иррациональность, считайте что всё, нашли. Устраняется она путём умножения числителя и знаменателя на сопряжённое выражение. Рассмотрим первый примерчик.

Так-так, видим известную нам неопределённость, работаем по плану, домножаем числитель и знаменатель на выражение в числителе с обратным знаком, далее раскрываем всё по формулам. Подставляем вместо "икса" двойку и получаем ответ. Да, и такое бывает, минус бесконечность.
Так-так, видим известную нам неопределённость, работаем по плану, домножаем числитель и знаменатель на выражение в числителе с обратным знаком, далее раскрываем всё по формулам. Подставляем вместо "икса" двойку и получаем ответ. Да, и такое бывает, минус бесконечность.

С первого примера уже что-то да стало понятно. Но чтобы наверняка, стоит и второй бахнуть.

Ух, выражение тут большое, но ничего, действуем так же как и в прошлый раз, домножаем на сопряжённое выражение числителя, раскрываем числитель по формуле, ого, в числителе у нас получилось вынести "икс" и сократить его, отлично, подставляем нолик везде и как мы видим, неопределённость исчезла, в результате получено конечное число.
Ух, выражение тут большое, но ничего, действуем так же как и в прошлый раз, домножаем на сопряжённое выражение числителя, раскрываем числитель по формуле, ого, в числителе у нас получилось вынести "икс" и сократить его, отлично, подставляем нолик везде и как мы видим, неопределённость исчезла, в результате получено конечное число.

Вот так-то лучше.

3. Последний рассмотренный на сегодня (есть ещё правило Лопиталя (ссылочка будет в конце статьи)) способ устранения неопределённости связан с табличкой эквивалентных величин.

Представим её здесь:

Таблица эквивалентных бесконечно малых при x->x0.
Таблица эквивалентных бесконечно малых при x->x0.

Использовать её очень просто, если видите функцию определённого вида как в табличке, то можете смело заменить эквивалентную ей. Работает это только при произведении и делении двух функций. При вычитании и сложении уже нельзя. Приведём пример:

Сразу в табличке ищем похожие выражения, да, в числителе и знаменателе у нас есть эквивалентные им выражения, только с знаменателем нужно пораотать, а точнее вынести константу, после этого используем табличку, заменяем, сокращаем всё что можно, в итоге мы получили конечный ответ.
Сразу в табличке ищем похожие выражения, да, в числителе и знаменателе у нас есть эквивалентные им выражения, только с знаменателем нужно пораотать, а точнее вынести константу, после этого используем табличку, заменяем, сокращаем всё что можно, в итоге мы получили конечный ответ.

Оказалось не так сложно, как предполагалось ранее. При таком раскладе, можно и второй пример рассмотреть.

Ищем в табличке похожие, нашли, начинаем "подгонять" под табличный вид. В числителе под корнем вынесли четвёрку, она стала двойкой, потом вынесли в числителе двойку, не забываем и про знаменатель, выносим там пятёрку, ну вот и всё подогнали под табличный вид, подставляем нолик и получаем конечный ответ, логарифм можно не вычислять, результат желательно оставить в таком в виде.
Ищем в табличке похожие, нашли, начинаем "подгонять" под табличный вид. В числителе под корнем вынесли четвёрку, она стала двойкой, потом вынесли в числителе двойку, не забываем и про знаменатель, выносим там пятёрку, ну вот и всё подогнали под табличный вид, подставляем нолик и получаем конечный ответ, логарифм можно не вычислять, результат желательно оставить в таком в виде.
На сегодня задачек достаточно, что-то мы сегодня "в ударе". Подводя общие итоги занятия, имеет место сказать, что раскрывать неопределённость ноль на ноль гораздо интереснее. Ну и примерчики всевозможные могут попасться, объединяющие в себе сразу несколько методов решения. Оставляйте в комментариях какую тематику стоит добавить на канале, какие темы разобрать. Спасибо за внимание.

Другие темы: