Добавить в корзинуПозвонить
Найти в Дзене
Vseznayka

Практика. Математика. Комплексные числа. Квадратные уравнения.

Продолжаем знакомиться с комплексными числами, сегодня уже будут квадратные уравнения, но не простые, а с отрицательными числами под корнем. Да-да, вы не ошиблись, именно с отрицательными. Будем развеивать школьные мифы о том, что, если под корнем число отрицательное, то уравнение решений не имеет. Ещё как имеет, только не в области вещественных чисел. Пожалуй стоит приступать. Начнём с простенького примерчика, выступит он у нас в качестве ознакомительного. Посмотрим на решение. Рассмотрим теперь полноценное квадратное уравнение. Решим ещё один примерчик для закрепления. На сегодня всё, было довольно необычно разбирать такие простые задания, зато посмотрели как решаются квадратные уравнения с комплексными числами, заметили что они не на много интереснее стандартных. Оставляйте в комментариях какие темы нужно ещё разобрать в дальнейшем. Спасибо за внимание. Другие разделы:
Продолжаем знакомиться с комплексными числами, сегодня уже будут квадратные уравнения, но не простые, а с отрицательными числами под корнем. Да-да, вы не ошиблись, именно с отрицательными. Будем развеивать школьные мифы о том, что, если под корнем число отрицательное, то уравнение решений не имеет. Ещё как имеет, только не в области вещественных чисел. Пожалуй стоит приступать.

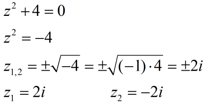
Начнём с простенького примерчика, выступит он у нас в качестве ознакомительного.

Не забываем что переменная "z", определяет комплексное число.
Не забываем что переменная "z", определяет комплексное число.

Посмотрим на решение.

Единственное что хотелось бы прокомментировать, так выделение минус единицы под корнем, остальное понятно.
Единственное что хотелось бы прокомментировать, так выделение минус единицы под корнем, остальное понятно.

Рассмотрим теперь полноценное квадратное уравнение.

В принципе не сильно отличаются эти примеры от обычных. Только в конце дописывается мнимая единица.
В принципе не сильно отличаются эти примеры от обычных. Только в конце дописывается мнимая единица.

Решим ещё один примерчик для закрепления.

Даже дискриминант такой же получился, особо сложного ничего не наблюдается, школьный уровень можно сказать.
Даже дискриминант такой же получился, особо сложного ничего не наблюдается, школьный уровень можно сказать.
На сегодня всё, было довольно необычно разбирать такие простые задания, зато посмотрели как решаются квадратные уравнения с комплексными числами, заметили что они не на много интереснее стандартных. Оставляйте в комментариях какие темы нужно ещё разобрать в дальнейшем. Спасибо за внимание.

Другие разделы: