Добавить в корзинуПозвонить
Найти в Дзене
Математика для всех

Почему А4 - это 210х297? Продолжение

Всем привет! В предыдущей статье я спрашивал Вас: почему у формата А4 такие странные размеры: 210х297 мм? Да и у остальных его старших братьев: А3-А0? В этом материале я расскажу Вам, почему именно такие числа взяты размерами сторон для листов офисной бумаги. Ещё чуть больше ста лет назад, в начале XX века, не существовало единого стандарта для размеров листов бумаги. Каждая фабрика выпускала бумагу со своими размерами, что было очень неудобно для типографий и книгоиздательств. Со временем некоторые фабрики решили производить бумагу листами, стороны которых относились друг к другу золотым сечением. Но и это соотношение оказалось неудобным. "Почему?" - спросите Вы. Всё дело в том, что при складывании больших листов пополам соотношения сторон менялись. Нужно было найти такой формат, чтобы при его разрезании пополам и далее на четыре, восемь, и т. д. частей - соотношения сторон не менялись. Вот тут на помощь пришла математика. Решим задачу. Имеется прямоугольник с короткой стороной а. Ка

Всем привет! В предыдущей статье я спрашивал Вас: почему у формата А4 такие странные размеры: 210х297 мм? Да и у остальных его старших братьев: А3-А0? В этом материале я расскажу Вам, почему именно такие числа взяты размерами сторон для листов офисной бумаги.

Ещё чуть больше ста лет назад, в начале XX века, не существовало единого стандарта для размеров листов бумаги. Каждая фабрика выпускала бумагу со своими размерами, что было очень неудобно для типографий и книгоиздательств. Со временем некоторые фабрики решили производить бумагу листами, стороны которых относились друг к другу золотым сечением. Но и это соотношение оказалось неудобным. "Почему?" - спросите Вы. Всё дело в том, что при складывании больших листов пополам соотношения сторон менялись. Нужно было найти такой формат, чтобы при его разрезании пополам и далее на четыре, восемь, и т. д. частей - соотношения сторон не менялись. Вот тут на помощь пришла математика.

Решим задачу. Имеется прямоугольник с короткой стороной а. Какого размера должна быть длинная сторона, чтобы при разделении прямоугольника пополам, соотношение сторон у меньшего прямоугольника не изменилось?

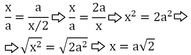
Пусть а - меньшая, известная, сторона; х - большая, искомая сторона. Тогда прямоугольник, полученный разделением пополам, будет иметь размеры: х/2 - меньшая сторона, а - большая. По условию задачи соотношение сторон должно остаться неизменным, т. е. х/а=а/(х/2). Мы получили уравнение, которое несложно решить:

-2

Как известно, √2≈1,4142. Почему приближённо равно? Потому что √2 - иррациональное число. Про иррациональные и другие виды чисел можно почитать здесь. Тогда мы получим, что длинная сторона прямоугольника должна быть в 1,4142 раза больше короткой. Вот и ответ на вопрос с соотношением сторон листов бумаги.

Теперь следующий вопрос: а какие размеры взять для большого листа, который бы потом можно было резать на более мелкие? Может быть 1х1,4142 м? Или ещё какие-нибудь другие? Один немецкий математик, инженер и теоретик стандартизации по имени Вальтер Порстманн, предложил взять лист бумаги, площадь которого составила бы один квадратный метр. Нехитрые расчёты дали длины сторон для такого листа: 841х1189 мм. Комитет по производственным стандартам Германии принял эти размеры за стандарт А0 в 1922 году. Меньшие стандартные размеры получаются делением формата А0 пополам, на четыре, восемь, и т. д. частей. Число после буквы А как бы показывает, сколько раз нужно сложить пополам лист А0, чтобы получить нужный. Так, всем нам известный формат А4 получается складыванием А0 четыре раза, то есть его площадь в 16 раз меньше исходной. Многим другим странам понравилась идея немцев. Так стандарт стал международным в 1975 году.

Надеюсь, я интересно и доступно объяснил, почему А4 - это 210х297 мм.

Спасибо, что дочитали! Буду благодарен за комментарии, лайки, подписки.

Предыдущая статья

Следующая статья