Добавить в корзинуПозвонить
Найти в Дзене
Vseznayka

Практика. Математика. Метод неопределённых коэффициентов.

На сегодняшней практике рассмотрим метод неопределённых коэффициентов. Он нужен для того, что бы разбивать сложную дробь на сумму дробей, если даже исходная на первый взгляд кажется неделимой. Область применения данного метода достаточно обширна, наиболее полезно знать его тем, кто изучает математический анализ, так как там частенько бывают интегралы представленные в виде дроби (с такими мы тоже познакомимся в дальнейшем😉), а так же применяется этот метод в операционном исчислении. Нельзя сказать что метод сложный, тут главное понять что и откуда берётся. Всё что нужно для понимания данной темы это: умение находить корни квадратного уравнения, уверенно использовать формулы сокращённого умножения, приводить дроби к общему знаменателю и решать системы уравнений, в принципе всё. Пожалуй стоит привести не большую табличку с "формулами" если говорить грубо. Что же, "заточим" свежеиспечённый примерчик, разогреемся, так сказать. Задание: представить дробь в виде суммы простых дробей.
Источник: http://zs7.ru/picture/mozg.jpg
Источник: http://zs7.ru/picture/mozg.jpg
На сегодняшней практике рассмотрим метод неопределённых коэффициентов. Он нужен для того, что бы разбивать сложную дробь на сумму дробей, если даже исходная на первый взгляд кажется неделимой. Область применения данного метода достаточно обширна, наиболее полезно знать его тем, кто изучает математический анализ, так как там частенько бывают интегралы представленные в виде дроби (с такими мы тоже познакомимся в дальнейшем😉), а так же применяется этот метод в операционном исчислении. Нельзя сказать что метод сложный, тут главное понять что и откуда берётся. Всё что нужно для понимания данной темы это: умение находить корни квадратного уравнения, уверенно использовать формулы сокращённого умножения, приводить дроби к общему знаменателю и решать системы уравнений, в принципе всё.

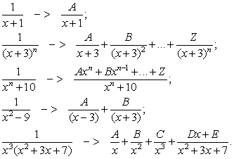
Пожалуй стоит привести не большую табличку с "формулами" если говорить грубо.

На самом деле это не формулы, а просто вспомогательные образцы, с ней будет проще понимать.
На самом деле это не формулы, а просто вспомогательные образцы, с ней будет проще понимать.

Что же, "заточим" свежеиспечённый примерчик, разогреемся, так сказать.

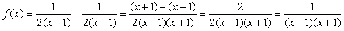
Задание: представить дробь в виде суммы простых дробей.

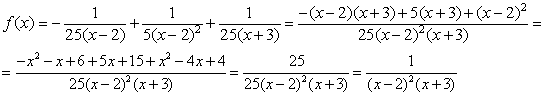
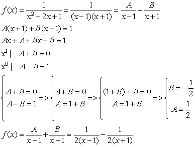
Давайте по порядку, первым делом упрощаем знаменатель, на столько, на сколько это только возможно, используя формулы сокращённого умножения или находя корни через дискриминант или по теореме Виета. Всё, упростили, дальше нужно узнать сколько у нас корней в знаменателе (нет, не обязательно искать числовое значение каждого), тут у нас два (это нужно для того, что бы удостовериться всё ли мы делаем правильно в дальнейшем, короче говоря количество наших неизвестных в системе должно равняться количеству корней в знаменателе изначальной дроби, это очень важно) . Дальше раскладываем на две дроби, где "А" и "В", это константы которые нам потребуется найти используя простой план действий. Нужно привести дроби к общему знаменателю (сам знаменатель можно отбросить), и приравниваем наше уравнение к числителю изначальной дроби. Что бы было проще, раскрываем все скобки. Теперь в левой части листа выписываем наши "иксы", начиная от самой высокой степени. Для справки "икс в степени ноль = единице". Потом мы должны записать коэффициенты перед нашими иксами, к примеру у нас записано А+В=0, в нашем уравнении присутствует всего два "икса" в первой степени, а в правой части "иксов" в первой степени нет, так что приравниваем к нулю. Так же работаем для свободных составляющих ("иксов" в нулевой степени), тут всё видно отчётливо, А-В=1.  Далее решая полученную систему из двух неизвестных находим наши "А" и "В".
Давайте по порядку, первым делом упрощаем знаменатель, на столько, на сколько это только возможно, используя формулы сокращённого умножения или находя корни через дискриминант или по теореме Виета. Всё, упростили, дальше нужно узнать сколько у нас корней в знаменателе (нет, не обязательно искать числовое значение каждого), тут у нас два (это нужно для того, что бы удостовериться всё ли мы делаем правильно в дальнейшем, короче говоря количество наших неизвестных в системе должно равняться количеству корней в знаменателе изначальной дроби, это очень важно) . Дальше раскладываем на две дроби, где "А" и "В", это константы которые нам потребуется найти используя простой план действий. Нужно привести дроби к общему знаменателю (сам знаменатель можно отбросить), и приравниваем наше уравнение к числителю изначальной дроби. Что бы было проще, раскрываем все скобки. Теперь в левой части листа выписываем наши "иксы", начиная от самой высокой степени. Для справки "икс в степени ноль = единице". Потом мы должны записать коэффициенты перед нашими иксами, к примеру у нас записано А+В=0, в нашем уравнении присутствует всего два "икса" в первой степени, а в правой части "иксов" в первой степени нет, так что приравниваем к нулю. Так же работаем для свободных составляющих ("иксов" в нулевой степени), тут всё видно отчётливо, А-В=1. Далее решая полученную систему из двух неизвестных находим наши "А" и "В".

Спросите вы, "ну нашли, подставили, и что дальше?", дальше желательно сделать проверку, убедиться в правильности решения так сказать. Напоминаю на данный момент, мы просто учимся раскладывать большую дробь на сумму мелких, практическое применение данного метода будем рассматривать позже. Отвлеклись от темы, делаем проверочку.

Для проверки нужно просто привести дроби к общему знаменателю (да-да, опять). Как видим всё сошлось, значит решение выполнено верно.
Для проверки нужно просто привести дроби к общему знаменателю (да-да, опять). Как видим всё сошлось, значит решение выполнено верно.

Едем дальше...

Задание: всё то же...

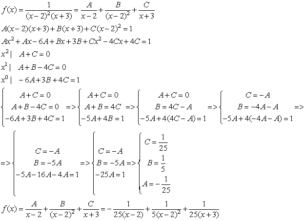
Так то тут почти тоже самое, только дроби уже три, когда раскладываем, смотрим в табличку. Старшая степень у "икса" вторая, больше на одну, чем в прошлом примере, составляем систему из трёх уравнений и находим все неизвестные. Тут нам бы нам помогли "методы решения СЛАУ", но просто выражать тоже можно, как в школе учили. Далее подставляем найденные коэффициенты.
Так то тут почти тоже самое, только дроби уже три, когда раскладываем, смотрим в табличку. Старшая степень у "икса" вторая, больше на одну, чем в прошлом примере, составляем систему из трёх уравнений и находим все неизвестные. Тут нам бы нам помогли "методы решения СЛАУ", но просто выражать тоже можно, как в школе учили. Далее подставляем найденные коэффициенты.

Выполним проверку, тут будет немного сложней, дроби то три😮.

Главное не запутаться тут в приведении к общему знаменателю, надо очень внимательно всё делать. В итоге сошлось, с чем я вас и поздравляю👏.
Главное не запутаться тут в приведении к общему знаменателю, надо очень внимательно всё делать. В итоге сошлось, с чем я вас и поздравляю👏.
Думаю хватит на сегодня, а то так и перегрузиться можно. Подведём итоги...
Что бы освоить этот метод, нужно очень много практиковаться, не на одних и тех же примерах конечно. Лучше всего поискать примерчики, где знаменатель принимает различный вид, так будет эффективнее для понимания. Пишите в комментарии с чем вам удосужилось столкнуться на практических занятиях. Спасибо за внимание.