Найти в Дзене

Расчёты по химическим уравнениям

Расчёты по химическим уравнениям в 8 классе – одна из важнейших тем. Уметь делать такие расчёты нужно и тем, кто просто изучает химию в рамках школьного курса, и химикам, которым требуется узнать, сколько нужно взять тех или иных веществ, чтобы провести реакцию. Ключевыми понятиями в таких расчётах являются моль, молярная масса и молярный объём (когда речь идёт о газообразных веществах.). Перед тем, как проводить расчёты по химическим уравнениям, нужно первым делом правильно записать само уравнение. Коэффициенты уже будут подсказкой и покажут, в каких соотношениях вступают в реакцию исходные вещества и в каком количестве они получаются. Будьте внимательны при уравнивании уравнений, от правильности расстановки коэффициентов зависит правильность ответа. Ну а чтобы всё стало понятнее, давайте прорешаем несколько задач. Пример 1 Натрий вступил в реакцию с водой. При этом образовался гидроксид натрия и газообразный водород. Известно, что было использовано 57,5 г натрия. Определите, сколько
Оглавление

Расчёты по химическим уравнениям в 8 классе – одна из важнейших тем. Уметь делать такие расчёты нужно и тем, кто просто изучает химию в рамках школьного курса, и химикам, которым требуется узнать, сколько нужно взять тех или иных веществ, чтобы провести реакцию. Ключевыми понятиями в таких расчётах являются моль, молярная масса и молярный объём (когда речь идёт о газообразных веществах.).

Фото: blog-emploi.com
Фото: blog-emploi.com

Перед тем, как проводить расчёты по химическим уравнениям, нужно первым делом правильно записать само уравнение. Коэффициенты уже будут подсказкой и покажут, в каких соотношениях вступают в реакцию исходные вещества и в каком количестве они получаются. Будьте внимательны при уравнивании уравнений, от правильности расстановки коэффициентов зависит правильность ответа. Ну а чтобы всё стало понятнее, давайте прорешаем несколько задач.

Пример 1

Натрий вступил в реакцию с водой. При этом образовался гидроксид натрия и газообразный водород. Известно, что было использовано 57,5 г натрия. Определите, сколько граммов гидроксида натрия получилось и сколько литров водорода выделилось.

Решение.

Для начала запишем уравнение:

2Na + 2Н2О = 2NaОН + Н2

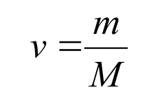
Их уравнения видно, что 2 моля натрия дают после реакции 2 моля гидроксида натрия и 1 моль водорода (об этом нам говорят коэффициенты перед формулами в уравнении). Давайте теперь узнаем, сколько моль натрия взяли для проведения реакции. В условии говорится, что взяли 57,5 г натрия. Тогда используя молярную массу (для простых веществ она совпадает с атомной и рассчитывается по таблице Менделеева. Для натрия атомная масса 23, как следует из таблицы), получаем, что число молей натрия, взятого для реакции 57,5/23=2,5. Напомню, что число молей рассчитывается по формуле:

-2

где m – масса вещества в граммах, M – молярная масса в граммах/моль, рассчитанная по таблице Менделеева.

В нашем случае m=57,5 г (дано в условии), М – 23 г/моль (взяли из таблицы).

Таким образом, для реакции взяли 2,5 моль натрия. Вспомните, что чуть раньше мы узнали, что 2 моля натрия дают после реакции 2 моля гидроксида натрия и 1 моль водорода. Давайте запишем для краткости так:

2 моль → 2 моль + 1 моль

У нас же имеется 2,5 моль натрия, тогда:

2,5 моль → X моль + Y моль

Рассчитаем Х=2,5*2/2=2,5 моль

Y=2.5*1/2=1,25 моль

Таким образом, если мы берём 2,5 моль натрия, то получим 2,5 моль гидроксида натрия и 1,25 моль водорода. Теперь мы можем рассчитать массу гидроксида натрия в граммах и объём водорода в литрах.

Молярная масса гидроксида натрия NaOH 23+16+1=40 г/моль (значения берём из таблицы Менделеева). Выше мы нашли, что у нас при реакции образуется 2,5 моль гидроксида, поэтому его масса 2,5*40=100 г.

Для водорода мы будем использовать молярный объём, поскольку речь идёт о газе. В нормальных условиях молярный объём любого газа - 22,4 л/моль. Выше мы нашли, что в нашей реакции получится 1,25 моль водорода. Отсюда получаем объём водорода 1,25*22,4=28 л.

Ответ: образуется 100 г гидроксида натрия и 28 л водорода.

Пример 2

При взаимодействии сульфата меди (II) и гидроксида калия образовался гидроксид меди (II) массой 343 г. Сколько потребовалось для реакции сульфата меди?

Решение.

Уравнение реакции выглядит так: CuSO4 + 2KOH = Cu(OH)2 + K2SO4

Коэффициенты говорят, что 1 моль сульфата меди дадут 1 моль гидроксида меди:

1 моль → 1 моль

Найдем, сколько моль гидроксида меди образовалось, используя формулу из первого примера. Молярная масса гидроксида меди, рассчитанная по периодической таблице, - 98 г/моль. В условии дано, что масса полученного гидроксида 343 г, значит количество вещества 343/98=3,5 моль. То есть в нашей реакции получилось 3,5 моль гидроксида меди. То есть:

1 моль → 1 моль (из уравнения реакции)

Х моль → 3,5 моль

Отсюда Х=3,5 моль, то есть для реакции потребовалось 3,5 моль сульфата меди. Молярная масса сульфата меди (её рассчитываем по таблице Менделеева) – 160 г/моль. Тогда масса сульфата меди 3,5*160=560 г.

Ответ: потребовалось 560 г сульфата меди.

Пример 3

При разложении пероксида водорода образовалось 15,68 л кислорода. Сколько при этом образовалось воды в граммах?

Решение.

Уравнение химической реакции здесь такое:

2Н2О2 = 2Н2О + О2

Из уравнения мы видим, что в результате реакции образуется 2 моль вода и 1 моль кислорода. В условии дано, что образовалось 15,68 литров кислорода. Находим, сколько это моль: 15,68/22,4=0,7 моль. То есть в нашей реакции образовалось 0,7 моль кислорода. Тогда:

2 моль Н2О и 1 моль О2

Х моль Н2О и 0,7 моль О2

Х=2*0,7/1=1,4 моль

Следовательно, если образовалось 0,7 моль кислорода, то воды образовалось 1,4 моль. Тогда находим массу вода (молярная масса воды - 18 г/моль, это следует из таблицы Менделеева): 1,4*18=25, 2 г.

Ответ: при разложении пероксида водорода образовалось 25,2 г воды.

Пишите, пожалуйста, в комментариях, что осталось непонятным, и я обязательно дам дополнительные пояснения. Жалуйтесь на сложности в изучении школьного курса и говорите, что вас испугало в учебнике химии. И тогда следующая статья будет рассказывать именно об этой проблеме.