Найти в Дзене
BrainUp

Экономическая задача из профильного ЕГЭ по математике. Показываю как просто и быстро решить

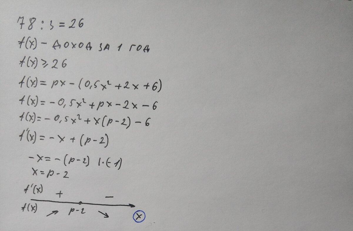
Здравствуйте, дорогие читатели :) Сегодня я решил показать вам один из типов экономических задач на ЕГЭ. Это задачи на оптимизацию. Многие их боятся, хотя ничего сложного там нет, напротив, если правильно решать вы не потратите на нее больше 10 минут. Да, это даже быстрее чем 15ое неравенство :) Итак, поехали Первое, что мы делаем - считаем сколько млн. рублей в год нужно, чтобы окупиться. Просто делим 78 на 3. А затем, самое главное в этой задаче - составление функции. Вам нужно понять, что нам в год нужно получать не менее 26 млн рублей, чтобы завод точно окупился. Нам нужна формула дохода, которая будет больше или равна 26. Но вся фишка в том, что в условии вам всё дали. Включая формулу дохода за год. А теперь заставим поработать логику. Что нам нужно сделать? Нам нужно найти максимально возможный доход за год. Как это сделать? Правильно - найти производную. Нам нужна точка максимума функции. Теперь давайте составим алгоритм, чтобы вы точно всё запомнили: 1)Находим необходимый дохо

Здравствуйте, дорогие читатели :) Сегодня я решил показать вам один из типов экономических задач на ЕГЭ. Это задачи на оптимизацию. Многие их боятся, хотя ничего сложного там нет, напротив, если правильно решать вы не потратите на нее больше 10 минут. Да, это даже быстрее чем 15ое неравенство :) Итак, поехали

Картинка с открытого банка заданий ФИПИ ЕГЭ
Картинка с открытого банка заданий ФИПИ ЕГЭ

Первое, что мы делаем - считаем сколько млн. рублей в год нужно, чтобы окупиться. Просто делим 78 на 3. А затем, самое главное в этой задаче - составление функции. Вам нужно понять, что нам в год нужно получать не менее 26 млн рублей, чтобы завод точно окупился. Нам нужна формула дохода, которая будет больше или равна 26. Но вся фишка в том, что в условии вам всё дали. Включая формулу дохода за год. А теперь заставим поработать логику. Что нам нужно сделать? Нам нужно найти максимально возможный доход за год. Как это сделать? Правильно - найти производную. Нам нужна точка максимума функции. Теперь давайте составим алгоритм, чтобы вы точно всё запомнили:

1)Находим необходимый доход за год
2)Составляем функцию дохода за год(99% вероятность того, что она дана в условии)
3)Раскрываем скобки для удобного нахождения производной
4)Находим производную
5)Находим точку максимума
Картинка авторская
Картинка авторская

Тут у вас может возникнуть вопрос: почему производная x(p-2) это p-2. Дело в том, что вы должны воспринимать p-2 как число, как самое обычное число. И соответственно, если у нас х в первой степени, то производная от него 1. 1 умножить на р-2 = р-2. Второй момент на который стоит обратить внимание - раскрытие скобок. Постарайтесь их раскрыть так, чтобы р-2 было отдельно. Можно даже выделить их собственными скобками, чтобы не запутаться. Я так и сделал. Следующий момент: когда вы находите точку максимума, числовая прямая это х! Это очень важно помнить, чтобы не запутаться.

Дальше нам нужно подставить точку максимума вместо х в исходную функцию и решить неравенство, о котором мы говорили в самом начале. Что годовой доход не меньше 26млн рублей. Приводим неравенство к такому виду:

Картинка авторская
Картинка авторская

Затем раскладываем на множители и решаем с помощью метода интервалов, не забывая про ОДЗ. Цена не может быть отрицательной, поэтому р >= 0. Получаем ответ: р принадлежит промежутку [10; +бесконечность). Но так как нам нужно было найти минимально возможное р, ответ будет 10. Всё :)

Картинка авторская
Картинка авторская

Пожалуйста, если вам понравилась и помогла эта статья, не поленитесь, поставьте лайк. Подпишитесь на канал, если хотите видеть статьи такого формата в ленте регулярно. Удачи! :)