Добавить в корзинуПозвонить
Найти в Дзене

Репетитор по химии готовит к ЕГЭ 2019. 35-е задание (по следам продуктов сжигания - к формуле этилформиата)

Вы хотите подготовиться к ЕГЭ по химии фундаментально, профессионально, результативно, получая удовольствие от каждой стадии образовательного процесса? Тогда вам сюда! Читайте с радостью - учитесь с удовольствием! Сегодня СМС-кой отметился мой друг Карлсон. — Привет от лучшего в мире привидения с мотором! Слушай, а почему ты меня не спросишь, где я пропадал все это время? Знаешь что? Ты мне должна стать родной матерью! Я самый больной в мире человек, и мне больше ничего не надо, кроме, может быть, какой-нибудь торт огромный, гору шоколада и, может быть, еще какой-то большой-пребольшой пакет конфет! Ведь я - умный, красивый, в меру упитанный мужчина, ну в полном расцвете сил. Но ведь я же ещё и талантливый! Вероятно, Карлсон проснулся утром, а в холодильнике - мышь повесилась (в прямом смысле). На голодный желудок неохота лететь куда-либо в поисках торта и пирожных. Фрекен Бок ушла на работу. Если вы не забыли, она работает химичкой в школе, где учится Малыш. Поэтому Карлсон решил напис

Вы хотите подготовиться к ЕГЭ по химии фундаментально, профессионально, результативно, получая удовольствие от каждой стадии образовательного процесса? Тогда вам сюда! Читайте с радостью - учитесь с удовольствием!

Сегодня СМС-кой отметился мой друг Карлсон.

Привет от лучшего в мире привидения с мотором! Слушай, а почему ты меня не спросишь, где я пропадал все это время? Знаешь что? Ты мне должна стать родной матерью! Я самый больной в мире человек, и мне больше ничего не надо, кроме, может быть, какой-нибудь торт огромный, гору шоколада и, может быть, еще какой-то большой-пребольшой пакет конфет! Ведь я - умный, красивый, в меру упитанный мужчина, ну в полном расцвете сил. Но ведь я же ещё и талантливый!

Вероятно, Карлсон проснулся утром, а в холодильнике - мышь повесилась (в прямом смысле). На голодный желудок неохота лететь куда-либо в поисках торта и пирожных. Фрекен Бок ушла на работу. Если вы не забыли, она работает химичкой в школе, где учится Малыш. Поэтому Карлсон решил написать мне, своей давней подруге. Пришлось отвечать:

— Знаешь, дорогой друг Карлсон! Я предпочитаю утром, после пробежки, решать задачи по химии. Тортом займусь позже. В конце статьи обещаю вкусный сюрприз!

NB! Рецепт необычного торта от Фрекен Бок - в конце статьи!

Голодный ответ Карлсона последовал незамедлительно:

— Торт со взбитыми сливками подойдет! Вообще, задержался я тут с тобой. Мне спать пора. Будь здорова.

Телефон отключился. Карлсон стал не абонент или временно недоступен. Вот и отлично! Я уже закончила обязательные утренние процедуры (пробежка - душ - чашечка ароматного кофе) и могу приступить к любимому делу - решению и анализу задач по химии.

Мы продолжим разговор о 35-м задании ЕГЭ "Установление молекулярной и структурной формулы вещества", включающее написание уравнения реакции. Решим еще одну задачу с алгоритмом "Вывод формулы вещества по продуктам сжигания". Условие задания было восстановлено по скану работы ЕГЭ одного из моих учеников.

Задание 35

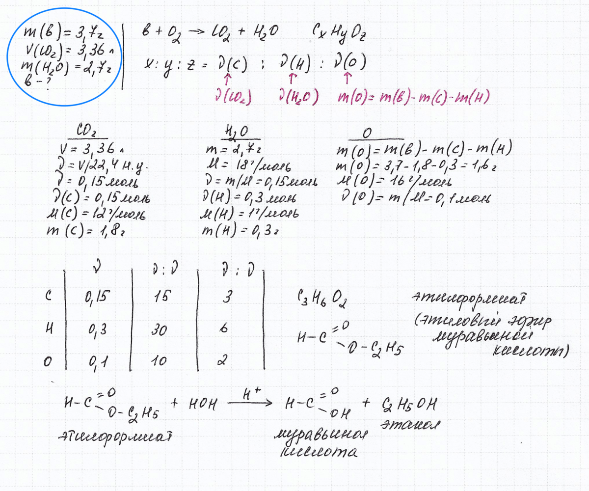
При сгорании 3,7 г органического вещества выделилось 3,36 л углекислого газа и 2,7 г воды. Вещество подвергается гидролизу в кислой среде, один из продуктов гидролиза способен реагировать с гидроксидом меди (II) с образованием кирпично-красного осадка.
На основании данных условия задания:
1) проведите необходимые вычисления (указывайте единицы измерения искомых физических величин) и установите молекулярную формулу исходного органического вещества;
2) составьте структурную формулу этого вещества, которая однозначно отражает порядок связи атомов в его молекуле;
3) напишите уравнение гидролиза данного вещества в кислой среде (используйте структурные формулы веществ).

Выписываем данные в разделе Дано.

Записываем реакцию горения в общем виде. По продуктам сжигания определяем качественный состав исходного вещества. Наличие в формуле кислорода ничем не подтверждено и не опровергнуто, поэтому атомы кислорода должны присутствовать в предполагаемой (гипотетической) формуле до окончательного расчета и анализа.

-2

Определяем структуру алгоритма (соотношение количества вещества атомов каждого элемента) и источник расчета количества вещества (атомы С - из молекул углекислого газа, атомы Н - из молекул воды).

Наличие (или отсутствие) кислорода определяется по разнице между массой вещества и массами углерода, водорода и хлора. Если в результате получается 0, значит кислород в формуле отсутствует.

-3

Рассчитываем углерод по углекислому газу

-4

Рассчитываем водород по воде

-5

Рассчитываем кислород по разнице между массой исходного вещества и массами атомов установленных элементов - углерода и водорода.

-6

Рассчитанные количества вещества записываем в таблицу и приводим их соотношения к целым значениям. Выводим простейшую формулу вещества, которая в представленной задаче является окончательной.

Как определить принадлежность вещества к определенному классу органических соединений?

1) По числу атомов Н определяем наличие кратных связей или циклов

2) По особенностям химических свойств конкретизируем класс веществ

Общая формула алканов CnH2n+2. Если в молекуле 3 атома С, при полном насыщении должно быть 8 атомов Н. Поскольку в формуле 6 атомов Н, значит, вещество содержит 1 двойную связь или 1 цикл.

Двойная связь может быть С=С или С=О.

Цикл может включать оба атома О, только 1 атом О (второй атом О - в группе -ОН), или не включать атомы О (оба атома О в группах -ОН).

По условию задачи "Вещество подвергается гидролизу в кислой среде, один из продуктов гидролиза способен реагировать с гидроксидом меди (II) с образованием кирпично-красного осадка".

Если вещество подвергается гидролизу, очевидно, что это - сложный эфир. Возможны 2 варианта: метилацетат (метиловый эфир уксусной кислоты) или этилформиат (этиловый эфир муравьиной кислоты).

Реакция с гидроксидом меди (II) является одной из качественных реакций на альдегидную группу. В большинстве случаев реакция проходит с образованием коричнево-красного осадка оксида меди (I).

Восстановление двухвалентной меди до одновалентной свидетельствует о наличии альдегида (или альдегидной группы). Из двух кислот - предполагаемых в качестве продуктов гидролиза (уксусной и муравьиной), только муравьиная кислота имеет альдегидную группу.

Значит, исследуемое вещество - этилформиат (этиловый эфир муравьиной кислоты).

-7

Запишем "уравнение гидролиза данного вещества в кислой среде".

-8

Хотите поближе познакомиться с этилформиатом? Читайте статью. Уверена, о многом вы даже не догадывались.

Этилформиат - сложный эфир, придает характерный запах лесной малине (так говорят немецкие химики, российские химики с ними не согласны). Этилформиат используют во многих сферах: растворитель нитрата и ацетата целлюлозы, фумигант, ларвицид, в производстве витамина B1, как отдушка для мыла и компонент пищевых эссенций. Немецкие учёные из института Планка утверждают, что обнаружили этилформиат в газопылевом облаке Стрелец В2.

Вижу, вас испугали сложные термины. Спокойствие, только спокойствие! Перевожу с русского научного на русский понятный.

Фумигант (от латинского fumigo - окуривать, дымить) - газообразные пестициды, проникающие в организм насекомых через дыхательные пути.

Ларвициды – группа пестицидов (инсектицидов), применяемых с целью уничтожения личинок и гусениц насекомых.

Пестициды (ядохимикаты) - химические вещества, используемые для борьбы с вредителями и болезнями растений, с паразитами, сорняками, вредителями зерна и зернопродуктов, древесины, изделий из хлопка, шерсти, кожи, с эктопаразитами домашних животных.

После такого насыщенного химического экскурса самое время скушать кусочек очень вкусного тортика из коллекции Фрекен Бок. Читаем, записываем, делаем, пробуем, угощаем!

Торт "Слезы ангела ЕГЭ" из коллекции Фрекен Бок

Тесто:
сгущенка - 1 банка ( 400 г)
яйца - 2 штуки
мука - 1 стакан (160 г)
разрыхлитель - 1 пачка (1 ст.л.)
Крем:
сливки 35% - 400 мл
сахарная пудра - 0,5 стакана
Все компоненты теста положить в миску и перемешать венчиком до однородности. Оставить на 20 минут. На листе бумаги для выпечки нарисовать круг 20 см и переложить ее на противень. В круг налить 3 столовые ложки теста и равномерно распределить. Духовку разогреть до 180°С. Корж выпекать до легкого зарумянивания (5-7 минут). С готового коржа снять бумагу и положить корж на кухонное полотенце. Так выпечь все коржи. Сливки взбить с сахарной пудрой. Промазать коржи кремом и поставить на ночь в холодильник. Утром к чаю или кофе - ням-ням! Приятного аппетита!

Вы готовитесь к ЕГЭ и хотите поступить в медицинский? Обязательно посетите мой сайт Репетитор по химии и биологии. Здесь вы найдете огромное количество задач, заданий и теоретического материала, познакомитесь с моими учениками, многие из которых уже давно работают врачами. Звоните мне +7 (903) 186-74-55. Приходите ко мне на курс, на Мастер-классы "Решение задач по химии" - и вы сдадите ЕГЭ с высочайшими баллами, и станете студентом престижного ВУЗа!

PS! Если вы не можете со мной связаться из-за большого количества звонков от моих читателей, пишите мне в личку ВКонтакте или на Facebook. Я обязательно отвечу вам.

Репетитор по химии и биологии кбн В.Богунова