Добавить в корзинуПозвонить
Найти в Дзене

Как проверить точность калькулятора?

Как проверить точность калькулятора? Человеку свойственно ошибаться. Он не любит признаваться в этом публично, но прекрасно отдает себе отчет. Именно поэтому человечество создало множество технических приспособлений, задача которых – упростить, ускорить и гарантировать точность выполнения разнообразных востребованных процессов. Но что делать, если и машины начинают допускать ошибки? В теории это невозможно, ведь электронный «разум» не подвержен эмоциям, отвлекающим факторам и усталости. Но на практике нет-нет, да и закрадываются сомнения в достоверности полученных данных. Поэтому, принимая во внимание, что в электронике чудес не бывает, а бывают лишь плохие контакты, давайте попробуем подстраховаться и научиться проверять на точность хотя бы калькулятор. Особенности устройства и работы калькулятора Электронное вычислительное устройство, а проще говоря, калькулятор, прекрасно знакомо большинству современных школьников начиная с младших классов. Хотя еще их родители могли только м

Как проверить точность калькулятора?

Человеку свойственно ошибаться. Он не любит признаваться в этом публично, но прекрасно отдает себе отчет. Именно поэтому человечество создало множество технических приспособлений, задача которых – упростить, ускорить и гарантировать точность выполнения разнообразных востребованных процессов. Но что делать, если и машины начинают допускать ошибки? В теории это невозможно, ведь электронный «разум» не подвержен эмоциям, отвлекающим факторам и усталости. Но на практике нет-нет, да и закрадываются сомнения в достоверности полученных данных. Поэтому, принимая во внимание, что в электронике чудес не бывает, а бывают лишь плохие контакты, давайте попробуем подстраховаться и научиться проверять на точность хотя бы калькулятор.

Особенности устройства и работы калькулятора

Электронное вычислительное устройство, а проще говоря, калькулятор, прекрасно знакомо большинству современных школьников начиная с младших классов. Хотя еще их родители могли только мечтать о такой удобной «шпаргалке» и все арифметические операции выполняли в уме или «в столбик» на листе бумаги. Жизнь школяров и домохозяек, ведущих бухгалтерию семейного бюджета, стала легче в самом начале 1970-х годов, когда относительно компактные калькуляторы (их можно было удержать в одной руке) поступили в свободную продажу.

С тех пор появились специализированные инженерные («научные», поддерживают вычисление элементарных функций, числовые и символьные), бухгалтерские (с увеличенным числовым рядом и способностью автоматически вычислять прибыль, учитывать налоги конвертировать валюты), финансовые (могут рассчитывать суммы денежных потоков, дисконтов, выплат по кредитам в банковской сфере) и даже графические (выводят на дисплей рисунки и графики). Простейшие арифметические калькуляторы стали совсем миниатюрными и встраиваются в мобильные телефоны и наручные часы. Но типичная конструкция компактного электронного калькулятора осталась прежней по своей сути.

Наружу форм-факторов в разных вариантах выведены дисплей и клавиатура для ввода данных, а микросхемы памяти и процессора различной мощности спрятаны внутри. Они зашифровывают понятные и нужные людям числовые данные в виде машинного двоично-десятичного кода и используют их для арифметических вычислений. Как правило, эти математические задачи решаются по одному из трех путей логики операций. Это стандартные алгебраическая логика, арифметическая логика и так называемая логика вычислений с обратной польской записью. Но большинству пользователей достаточно знать, в какой последовательности вводить условия расчетов и как получить их итог.

К примеру, чтобы узнать, сколько будет «30*5+45» придется последовательно нажать кнопки клавиатуры: «3», «0», «×», «5», «+», «4», «5», а затем «=». По законам арифметики, после нажатия плюса выполнится умножение 30 на 5. В этот момент на дисплее отобразится промежуточный для примера результат «150», и только после нажатия на клавиатуре кнопки со знаком равенства отобразится окончательный результат вычислений: «195». А что касается достоверности этой информации, то тут остается поверить электронному «мозгу» или проверить исправность калькулятора, тем самым подтвердив или опровергнув точность его расчетов.

Проверка калькулятора на точность

Проверить точность калькулятора можно в любой момент, когда у вас появится такое желание или сомнения в его исправности. Потому что это не потребует от вас никаких дополнительных приспособлений и может быть сделано исключительно силами самого же тестируемого агрегата. Благодаря востребованности и распространенности калькуляторов по всему миру, изобретательные пользователи и сами компании-производители придумали несколько способов, позволяющих удостовериться в точности электронных расчетов:

1. При возведении в квадрат числа 111111111 на экран калькулятора должно быть выведено значение 12345678987654321.Такой числовой «палиндром» свидетельствует об исправности вычислительной техники.

2. При умножении числа 12345679 на 9 на дисплее точного калькулятора появляются девять единиц: 111111111.

3. При последовательном введении условий примера 100*10/2+16*4 итог расчетов должен равняться 564. Если ваш калькулятор с ним справился без ошибок, значит, с его алгебраической логикой все в полном порядке.

Но бывают ситуации, когда таких относительно простых подсчетов недостаточно. Например, когда речь идет о неких научных или технических процессах. В этих случаях нужно не приблизительно и округленное, а как можно более приближенное к истинному вычисление. А практика показывает, что простые бытовые калькуляторы могут давать погрешность от истинного значения в десятки и даже сотни раз (в длительных последовательностях дробных данных). При этом условия задачи часто оговаривают требование точности числа вплоть до n знаков (в каждом отдельном случае).

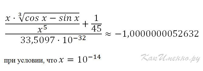
Для этого существует формула, которая «не по зубам» практически ни одному из ныне существующих калькуляторов. Зато с ее помощью вы сможете узнать, насколько ошибается именно ваша техника. Задайте калькулятору просчет результата по такой формуле, но вводите ее не по частям, а целым массивом:

-2

Ответ, равный приблизительно минус единице, говорит о том, что вы можете смело доверять вашему калькулятору даже самые сложные расчеты, требующие высокой точности. Но будьте готовы к тому, что даже самый современный технический калькулятор покажет себя не лучшим образом в таком испытании. В этом случае можно посоветовать вам пользоваться так называемыми эмуляторами, или компьютерными программами, имитирующими электронную технику, но отличающимися от нее большим объемом памяти, сложностью вычислительных процессов и, соответственно, точностью результатов.

На что еще обратить внимание при выборе калькулятора

Проверку калькулятора на точность лучше всего осуществлять в самом начале его использования, непосредственно перед совершением покупки, чтобы сразу обезопасить свою работу от возможных ошибок. Заодно обратите внимание на другие характеристики устройства, влияющие на точность расчетов если и меньше процессора, то все равно заметно. Величина, разрешение и контрастность дисплея должны соответствовать сложности задач и вмещать достаточно количество символов, а также отображать их четко. Изображение на клавишах, качество его нанесения, стойкость к стиранию, а также сам размер и расположение кнопок должны быть удобными, практичными и интуитивно понятными. Иначе вы рискуете раз за разом сбиваться при вводе данных и начинать этот, порой кропотливый процесс, заново.

Качественная техника должна снабжаться фирменной упаковкой и обязательно сопровождаться инструкцией по эксплуатации устройства. Кстати, в этой инструкции добросовестные производители всегда указывают способ проверки точности калькулятора, один из тех арифметических, что мы рассмотрели выше. И, разумеется, уточните наличие и соблюдение гарантийных условий как со стороны производителя, так и продавца калькулятора. Потому что в случае обнаружения неисправности и регулярных ошибок расчетах вы должны иметь возможность вернуть неудачный прибор обратно. Желаем вам правильного выбора и точных вычислений.

-3