Найти в Дзене
Исай Давыдов

Относительность пространства.

По поводу относительности физического пространства великий ученый Альберт Эйнштейн еще в 1917 году писал следующее: “Я стою у окна равномерно движущегося железнодорожного ва­гона и выпускаю из рук на полотно дороги камень, не сообщая ему скорости. Тогда я увижу, что камень падает пря­молинейно вниз. Прохожий, находящийся вблизи полотна железной дороги и наблюдающий од­новременно со мной за падением камня, видит, что камень падает по параболе. Тогда я задаю вопрос: где “в действительности” находятся “места”, через которые проходит камень при падении, – на прямой линии или на параболе”. Правильный и научно обоснованный ответ на этот вопрос может быть получен только лишь из теории относительности. На этом простом примере Альберт Эйнштейн убедительно продемонстриро­вал относительность наших представлений о такой объективной реальности, как физическое пространство. В зависимости от положения наблюдателя одна и та же объективная траектория одному человеку представляется параболой, а друго­м

По поводу относительности физического пространства великий ученый Альберт Эйнштейн еще в 1917 году писал следующее: “Я стою у окна равномерно движущегося железнодорожного ва­гона и выпускаю из рук на полотно дороги камень, не сообщая ему скорости.

Тогда я увижу, что камень падает пря­молинейно вниз. Прохожий, находящийся вблизи полотна железной дороги и наблюдающий од­новременно со мной за падением камня, видит, что камень падает по параболе. Тогда я задаю вопрос: где “в действительности” находятся “места”, через которые проходит камень при падении, – на прямой линии или на параболе”.

Правильный и научно обоснованный ответ на этот вопрос может быть получен только лишь из теории относительности. На этом простом примере Альберт Эйнштейн убедительно продемонстриро­вал относительность наших представлений о такой объективной реальности, как физическое пространство. В зависимости от положения наблюдателя одна и та же объективная траектория одному человеку представляется параболой, а друго­му – прямой линией. Согласно теории отно­сительности мало сказать, что представляет собой данная траектория, надо еще указать, для кого она является параболой, а для кого – прямой.

Подписывайтесь на канал
Подписывайтесь на канал

Но тогда возникает вполне естественный воп­рос: а что же все-таки представляет собой данная траектория в объективной действительности, независимо от субъекта, безотносительно к наблюдателю? Чтобы ответить на этот вопрос, необходимо ввести в рассмотрение абсолютную систему отсчета, о чем речь шла раньше. Ясно одно, что данная траектория в объективной действительности является весьма сложной формой кривой, а не параболой и тем более не прямой, ибо в движении принимают участие не только поезд и перрон, но и Земля, и Солнечная система, и Галактика и т.д. Знать абсолютную истину о данной территории мы не можем, но мы можем знать относительную истину о ней.

Относительными категориями являются не только траектория, не только количество измерений пространства, но и всякие другие его атрибуты, такие, как протяженность, длина, ширина, высота, объем и т.д.

Понятия пространства следует четко отличать от понятия протяженности. Протяженностью называется одна из основных характеристик пространства, выражающая его размеры. Ранее материалисты рассматривали физическое пространство как бесконечную протяженность, которая вмещает в себя все материальные тела. Однако, по признанию самих же атеистов, “развитие науки опровергло эти представления. Никакого абсолютного пространства как бесконечной пустой протяженности в физическом мире не существует”.

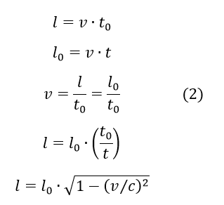
Из специальной теории относительности известно, что размеры любого материального тела зависят от скорости его движения относительно наблюдателя. Относительными категориями являются не только понятие времени, но и понятия длины, массы, энергии и т.д. В самом деле, для каждой из двух инерциальных систем отсчета мы имеем следующие соотношения:

-2

где l – релятивистская длина, то есть длина тела, которое движется относительно наблюдателя со скоростью v (отсчитывается как путь, пройденный от одного конца тела до другого его конца за время t0); l0 – длина покоя, с – скорость движения информации или сигналов, посылаемых и принимаемых наблюдателем с целью определения пространственно-временных измерений данного объекта, движущегося относительно него со скоростью v. Наиболее высокая скорость передачи таких сигналов, которые могут быть использованы нами во Вселенной, не превышает скорости света: с = 300 000 км/сек. В то же время скорость идеальной информации может быть сколь угодно большой.

Из уравнения (2) видно, что если бы в распоряжении субъекта, измеряющего длину в чу­жой инерциальной системе отсчета, были сигналы или информация, распространяемая и принимаемая с бесконечно большими скоростями “с”, то относительная длина была бы равна подлинной длине объекта, то есть если с = ∞, то l = l0.

Таким образом, в Материальном Мире пространство и время являются относительными категориями, а не абсолютными.

***

Купить "Номогенезис"

Подписывайтесь на канал