Добавить в корзинуПозвонить
Найти в Дзене
Успешный ученик

Процентное отношение чисел

Процентное отношение двух чисел - это их отношение, выраженное в процентах.
изображение из открытых источников
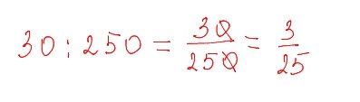
Например, если ты каждое утро выпиваешь 250 г чая, в который добавляешь 30 г сахара, то отношение массы сахара к массе чая
Зная это отношение, ты всегда сможешь добиться такого же вкуса чая для любой другой его массы.
Процентное отношение двух чисел - это их отношение, выраженное в процентах.
изображение из открытых источников
изображение из открытых источников

Например, если ты каждое утро выпиваешь 250 г чая, в который добавляешь 30 г сахара, то отношение массы сахара к массе чая

-2

Зная это отношение, ты всегда сможешь добиться такого же вкуса чая для любой другой его массы.

На 1000 г чая тебе нужно будет добавить

-3

Очень часто отношение чисел выражают в процентах.

Помнишь, как записать дробь в виде процентов?

-4
Процентное отношение показывает, сколько процентов одно число составляет от другого.

Например, в твоём классе 18 девочек и 9 мальчиков, тогда

-5

Количество мальчиков от количества девочек составляет 50%.

-6

Количество девочек от количества мальчиков составляет 200%.

Чтобы найти процентное отношение двух чисел, надо их отношения умножить на 100 и к результату дописать знак процентов.

Выполни следующее упражнение.

Сколько процентов составляет

  • число 4 от числа 8;
  • число 2 от числа 10
  • число 12 от числа 48?

Реши следующие задачи:

  • Вика прочитала 169 страниц книги, в которой 260 страниц. Сколько процентов страниц книги прочитала Вика?

  • У Маши было 340 рублей. За 238 рублей она купила подарок маме. Какой процент денег истратила Маша на подарок?

  • Найдите процент содержания олова в руде, если 80 т этой руды содержит 6,4 т олова?

  • За каникулы Витя планировал решить 60 задач по математике, а решил 102 задачи. На сколько процентов Витя "выполнил план по решению задач"?

  • Определите процент содержания сахара в растворе, если 250 г раствора содержит 115 г сахара.

На этом завершаю свой урок, встретимся в следующем)