Найти в Дзене
Droider

GPS: Система навигации будущего - Разбор

Спутниковая навигация прошла довольно большой путь эволюции. По мере своего развития навигация преодолела много проблем, пока не стала чем-то таким же привычным и удобным как интернет. Поэтому сегодня мы сначала поговорим о том, как работает спутниковая навигация сейчас и немного заглянем в будущее.
Узнаем как работает GPS?
Зачем внутри смартфона нужны атомные часы?
Как Эйнштейн испортил всю
Оглавление

Спутниковая навигация прошла довольно большой путь эволюции. По мере своего развития навигация преодолела много проблем, пока не стала чем-то таким же привычным и удобным как интернет. Поэтому сегодня мы сначала поговорим о том, как работает спутниковая навигация сейчас и немного заглянем в будущее.

Узнаем как работает GPS?

Зачем внутри смартфона нужны атомные часы?

Как Эйнштейн испортил всю навигационную малину своей теорией относительности?

И возможна ли навигация с точностью до 1 см?

Военная технология

Проблема первая. Поначалу это просто была технология “не для всех”. Как и многие привычные сегодня в быту технологии, типа компьютерной мыши, телефона или интернета, спутниковая навигация изначально была военной разработкой. И пользоваться ей могли только военные.

Всё началось в 50-х, когда СССР запустили первый искусственный спутник Земли. Это стало очень раздражать американских военных. И тогда они придумали первую систему глобальной спутниковой навигации - GPS или Global Positioning System.

Первый GPS-спутник запустили аж в 1974 году. Но только к 83 году систему GPS открыли для гражданский нужд. Но чтобы гражданским не было слишком сладко, военные стали использовать режим селективного доступа, то есть искусственно угрубляли сигнал, что снижало точность определения координат до 100 метров. Такой вариант навигации тоже подходил не всем. И только к 2000 году все искусственные ограничения были сняты, и точность повысилась со 100 до 20 метров. С тех пор спутниковая навигация не стояла на месте. Например, в машинах она прошла путь от встроенных блоках в начинку авто, до крохотной микросхемы в вашем смартфоне или часах.

Да и вообще, сегодня сложно представить жизни без карты по рукой! Но, тем не менее, прежде чем говорить о следующих этапах развития. Давайте разберемся как вообще работает GPS. Тем более, что и другие системы работают по тому же принципу.

Орбиты

Итак, спутники системы GPS обращаются вокруг Земли по круговым орбитам в шести разных плоскостях. Сейчас вращается всего 32 спутника: 31 из них рабочий и один запасной. Хотя для корректной работы системы достаточно всего 24 спутника, именно столько спутников нужно чтобы в любой точке Земли в любой время наблюдалось хотя бы 4 спутника GPS.

Все спутники находятся на одной высоте 200 км над уровнем моря. Это так называемая орбита суточной кратности. Дело в том, что период обращения тел на этой орбите 11 часов 58 минут, а это значит, что спутник совершает за одни звездные сутки ровно два витка вокруг Земли. Всё потому что звездные сутки длятся 23 часа 56 минут, а не ровно 24 часа, как мы тут все думаем.

Принцип работы

Окей, с этим всё понятно. Но как спутники где-то далеко в космосе помогают определить твоё положение на Земле?

Неужели, когда мы открываем навигационное приложение, телефон посылает какой-то сигнал до спутника и спутник ему отвечает, присылая координаты?

Не совсем так. Во-первых, любое навигационное устройство ничего в космос не посылает, оно только принимает сигнал, поэтому и называется приемником.

А спутник - это вообще по большому счёту космическое радио, которое вместо музыки транслирует время и координаты. Только не ваши, а свои.

Да-да. Спутник буквально говорит приемнику: "Приветики, а у меня тут 14:21! Пролетаю над Тихим Океаном. До связи."

А приёмник просто ловит этот сигнал.

Мы конечно рады что спутник знает где и сколько у него там времени. Но как это может помочь нам на Земле? И вот тут начинается самое интересное.

Дело в том, что радиосигнал распространяется со скоростью света. А значит, посчитав разницу между временем, когда нам был отправлен сигнал и временем, когда мы его получили, мы можем вычислить на каком расстоянии от спутника мы находимся.

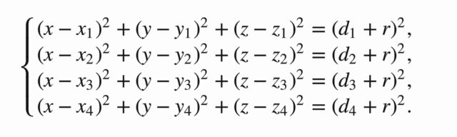
Уже что-то. Теперь мы можем нарисовать сферу вокруг спутника. В одной из точек этой сферы мы и находимся. Но если поймать сигнал от второго спутника, мы можем нарисовать вторую сферу. Теперь мы находимся где-то на границе пересечения этих сфер. А поймав третий спутник, мы уже точно узнаем где мы! Ведь так?

Не совсем. Дело в том, что спутники для определения времени используют очень точные атомные часы. А в наших смартфонах часы не такие точные. А в данном случае, даже ошибка в одну микросекунду даёт погрешность в районе 300 метров.

Из этой ситуации есть два выхода:

  • Либо использовать в смартфонах такие атомные часы. Это решает проблему со спутниками, но слегка утяжеляет и удорожает смартфоны.
  • Либо нам понадобится 4-й спутник.

При наличии четвертого спутника, мы можем вычислить погрешность наших часов чисто математически. И готово. Теперь мы знаем свои координаты.

-2

Проблема с Эйнштейном

А точнее знали бы, если бы не вмешалась теория относительности Эйнштейна, которая на практике оказалась совсем даже не теорией. Дело в том, что спутники по орбите движутся с достаточно приличной скоростью. Примерно 4 км/с. А на такой скорости согласно релятивистским эффектам время на спутнике замедляется относительно нас. То есть на Земле время бежит быстрее. Поэтому, чтобы не сожалеть об упущенном времени, как Мэтью Макконахи, атомные часы на борту спутника замедляют.

Атомы вибрируют не на положенной частоте 10,23 МГц, а на вот такой некрасивой: 10,229 999 995 43 МГц

Холодный старт

Ну всё. Четыре спутника поймали, теорию Эйнштейна учли. Теперь то мы сможем определить свои координаты? Верно, сможем! Через 12,5 минут.

И вот тут мы плавно переходим ко второй проблеме спутниковой навигации. Она очень долго была тормозной. На самом деле спутники передают чуть больше данных, чем я до этого сказал:

  • Нужно передать так называемый альманах - это общие параметры орбит всех спутников.
  • Нужно передать эфемериды - так называются координаты текущего спутника.
  • Всякие данные о коррекции времени и прочее. Вот весь пакет данных и передается 12,5 минут.

Естественно, 12 минут никто ждать не станет. Поэтому данные передаются блоками и первую полезную информацию можно получить за 30 секунд.

Так называемый “холодный старт” навигатора раньше длился от 30 до 60 секунд, смотря в какую фазу вы попали. Все старики помнят, как это было мучительно. Поэтому, чтобы мы больше не страдали, пришла технология A-GPS.

-3

Эта штука одновременно очень проста и гениальна. Зачем грузить огромный альманах и прочие данные с тормознутого спутника, если тоже самое можно скачать из сети? Именно это и позволила делать технология A-GPS.

-4

Такой небольшой хак, позволил сократить время холодного старта с 30 секунд до 1 секунды. Представляете, как круто!

Причем появилась технология давно, аж в 2001 году. Но широкого распространения долго не получала, использовалась только экстренными службами типа 911.

И так продолжалось года до 2010, пока не наступила эра смартфонов и сетей 3G.

Карты

И вот в начале 2010-х у всех в руках появилось по гаджету с достойным GPS приёмником. Но на самом деле пользоваться GPS мы стали гораздо позже. Почему?

Откровенно говоря, долгое время качество картографических сервисов оставляло желать лучшего. Все карты были офлайновые, а поэтому обновлялись они не часто, как правило раз в год. А за год много чего происходит. Да и такой роскоши, как показ пробок - все этого не было.

Пока в 2012 году не появились онлайн-карты типа Яндекс.Навигатора. Это время совпало с появлением 4G в России и других странах.

Ошибки

Но не будем забегать далеко вперед. Дальше начался период работы над ошибками. Вы наверняка замечали, что в GPS есть проблемы с точностью. И в этом нет ничего удивительного. Ведь когда ты посылаешь сигнал на расстояние 20 тысяч километров многое может пойти не так.

Во-первых, свои корректировки вносит атмосфера Земли.

-5

Радиосигнал просто преломляется и из-за этого точность падает. Например, точность GPS в идеальных условиях составляет 70 сантиметров. Но только тропосфера ионосфера земли докладывает 4-5 метров искажений. А с учетом других факторов погрешностет может достигать 13 метров.

Кроме того не стоит забывать, что высокие здания города часто портят сигнал, а под мостом или в тоннеле он вообще теряется.

-6
-7

Умный софт

А вот теперь смотрите. Навигатору нужно точно знать, на какой дороге находится автомобиль. Он должен понимать, с какой скоростью движется автомобиль, сколько осталось до следующего поворота, ушел человек с маршрута или нет. И всё это надо делать в реальном времени. Поэтому, если бы навигаторы пользовались сырыми данными GPS со всеми погрешностями, то навигация не работала бы совсем.

Как же эту проблему решают? Естественно, при помощи умного софта!

Например, в Яндекс.Картах или Яндекс.Навигаторе, работает алгоритм, рассчитывающий вероятности!

Когда сигнал так себе, софт предполагает, что машина может находиться сразу в нескольких точках! Для каждой из точек, незаметно для вас, навигатор стоит свой маршрут, но вы видите только один маршрут. Вы спросите какой? Правильно, наиболее вероятный!

Для каждого из возможных положений пользователя, просчитывается вероятность, с учетом погрешности сигнала, угла и направления движения. Поэтому софт всегда выбирает наиболее вероятный вариант. На самом деле, Яндекс всегда считает несколько вариантов, и не только когда сигнал плохой.

Но если другой вариант становится более вероятным, перестраивание маршрута происходит мгновенно, потому как у навигатора всегда несколько вариантов наготове.

Глушилки

Но существует ещё одна проблема: спутниковый сигнал можно легко заглушить, при помощи специальных устройств.

Москвичи хорошо знают, что по городу периодически встречаются аномальные GPS зоны, в которых тебя резко телепортирует куда-нибудь во Внуково.

Но такая проблема была раньше. Сейчас в Яндекс.Навигаторе или Яндекс.Картах научились определять аномалии в GPS, вызванные глушилками. Хотя полноценная навигация с заглушенным GPS невозможна, сейчас ваша карта не перепрыгнет в неверную позицию, вы просто увидите сообщение «Защита от телепортации включена» или «GPS нет, но вы держитесь».

Дифференциальная коррекция

Но не только, софт решает эти проблемы. Сейчас по всему миру развертывают системы дифференциальной коррекции ошибок спутниковой навигации. На территории стран СНГ работает система СДКМ, которая которые позволяет увеличить точность определения координат с нескольких метров, до нескольких сантиметров! Это очень хорошая штука.

-8

На Земле ставится специальная станция-приёмник, которая очень точно знает свои координаты. Она также принимает сигнал от спутников и соответственно, может вычислить насколько в данной конкретной точке косячит навигация.

Дальше дифференциал ошибки передается на геостационарный спутник. Это такой спутник, который летает на далёкой орбите и вращается одновременно с Землей, поэтому он всегда находится на одном месте с точки зрения землян. А дальше это спутник посылает корректировку на ваш приёмник.

-9

Также, параллельно с системой GPS, развивались и другие глобальные системы навигации. В 2015 году запустилась российская система ГЛОНАСС. А в этом году стартовала китайская система Бэйдоу (Beidou). И буквально в шаге от старта находится европейская GALILEO, обещали запуск 2020-м, но всё никак не запустятся. Есть ещё и японская QZSS.

И современные смартфоны уже поддерживают все эти системы. Поэтому и навигация на них работает еще быстрее и точнее. А значит и вариантов использования навигации появляется еще больше. поэтому пологим про будущее навигации.

Навигация стремится быть повсеместной. Сейчас в больших городах люди используют вообще все виды транспорта: такси, каршеринг, метро, самокаты и, естественно, на своей ласточке тоже рассекают. Поэтому логично, что приложения для навигации должны подходить для всех типов помещений.

Смотрите сами, в последнем обновлении Яндекс.Карт есть весь функционал Навигатора. По сути, теперь нет необходимости ставить два приложения. Раньше она была урезанная, но теперь Карты, также как Навигатор, предупреждают о камерах, скоростных ограничениях, авариях, ремонте дороги и прочем. Есть парковки или же заправки, которые позволяют оплачивать бензин не выходя из машины в приложении.

Прокладка маршрута такая же, даже “разговорчики” подвесили.

Но в отличие от Навигатора, когда выходишь из машины, теперь не надо переключаться на другое приложение.

Сразу под рукой крутые пешие маршруты, крутейший AR-режим и схемы торговых центров.

Можно просто удалять остальные приложения и пользоваться только картами.

Будущее

-10

Поэтому, на мой взгляд, в будущее уже совсем не будем отдавать себе отчет как работает навигация.

На улице смартфон будет ловить спутники, заходя в торговый центр, твои координаты будут определяться через общественный Wi-Fi. И всё это будет работать бесшовно и в одном приложении.

Сервисы будут постоянно улучшаться с помощью Big Data, ведь за точность пробок надо сказать спасибо 27 миллионам пользователей Яндекс Навигатора, и 20 миллионов пользователей Яндекс Карт на мобильных девайсах.

А если говорить о беспилотных автомобилях, то они уже смогут использовать не только GPS, но и камеры и лидары, также данные о скорости и руле серьезно повысят точность позиционирования.