Добавить в корзинуПозвонить
Найти в Дзене
Электротехник Равилов

Электромагнитная индукция - что это такое? Простыми словами и на опытах

Сегодняшняя тема посвящена очень важному явлению в физике и теории цепей - это явление электромагнитной индукции. Без открытия которой, много чего бы сейчас не было, в том числе трансформаторов и других электрических машин. Именно по принципу электромагнитной индукции работают эти устройства.
Для более лучшего понимания этого явления, мы сегодня немного вспомним историю открытия

Сегодняшняя тема посвящена очень важному явлению в физике и теории цепей - это явление электромагнитной индукции. Без открытия которой, много чего бы сейчас не было, в том числе трансформаторов и других электрических машин. Именно по принципу электромагнитной индукции работают эти устройства.

Для более лучшего понимания этого явления, мы сегодня немного вспомним историю открытия: что это за явление, где и как применяют, а также проверим все это на опытах. Простыми словами и практически без формул попытаемся в этом разобраться.

Сразу разделим понятия вектора магнитной индукции и явления электромагнитной индукции. Поговорим именно о явлении, а затем, если понадобится, поговорим о векторе магнитной индукции.

В видеоуроках по теории трехфазных цепей и истории изобретения трансформаторов, я уже подробно рассказывал о том, какой вклад внес, в том числе и в трансформаторы, и в генераторы Майкл Фарадей. Вкратце повторю основные моменты.

В 1821 году Фарадей познакомился с публикациями, в которых были описаны опыты Эрстеда.

Рисунок 1 - Один из опытов Эрстеда
Рисунок 1 - Один из опытов Эрстеда

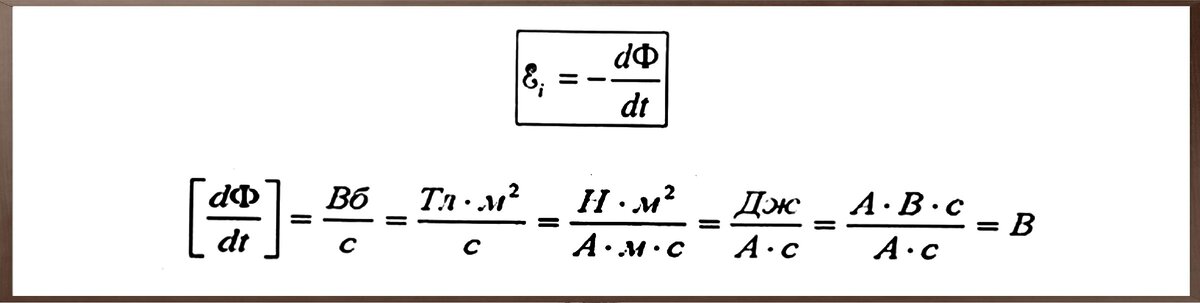
Магнитная стрелка отклонялась около проводника с током. Это явление преобразования электричества в магнетизм. Тогда Фарадей поставил перед собой задачу: сделать обратное преобразование – преобразование магнетизма в электричество. Через 10 лет исследований он сформулировал закон электромагнитной индукции:

Внутри любого замкнутого контура наводится ЭДС. Ее величина определяется скоростью изменения магнитного потока, пронизывающая рассматриваемый контур, но взятую со знаком “минус”
Рисунок 2 - Закон электромагнитной индукции
Рисунок 2 - Закон электромагнитной индукции

Проще говоря, если какой-нибудь замкнутый проводник находится в магнитном поле, то в этом проводнике будет протекать ток, называемый индукционным. Это такой же ток как, например, от батарейки. Электроны движутся упорядоченно.

Индукция – это есть процесс возбуждения, наведения, создания чего-либо. А электромагнитная индукция – это явление возникновения индукционного тока в контуре. Хотя это определение не достаточное для более полного понимания явления электромагнитной индукции. Поэтому мы сегодня подробнее все это рассмотрим.

Проведем опыт по преобразованию электричества в магнетизм, но на более простом примере. А у Эрстеда был неподвижный проводник и параллельно к нему размещалась магнитная стрелка.

При пропускании электрического тока через проводник, магнитная стрелка поворачивалась перпендикулярно проводнику. А когда цепь размыкалась, стрелка возвращалась в первоначальное положение. Это говорит о том, что в пространстве, окружающим проводник с током, действуют силы, вызывающие движение магнитной стрелки. Такие же которые действуют вблизи магнитов.

Таким образом, опыт Эрстеда доказывает, что в пространстве, окружающем проводник с током, возникаем магнитное поле.

Давайте это проверим.

Рисунок 3 - Простой опыт по преобразованию электричества в магнетизм
Рисунок 3 - Простой опыт по преобразованию электричества в магнетизм

На металлический болт намотано, примерно, 2 метра медной проволоки в изоляции. На два вывода провода подадим напряжение 1,5 (В) от аккумулятора. И, согласно опыту, болт за счет возникшего магнитного поля вокруг провода станет обладать свойствами магнита.

Рисунок 4 - Опыт по преобразованию электричества в магнетизм (болт намагничен и притягивает к себе металлические предметы)
Рисунок 4 - Опыт по преобразованию электричества в магнетизм (болт намагничен и притягивает к себе металлические предметы)

Как видим, это действительно так. И если отключить питание, то все магнитные свойства теряются.

Это подтверждает тот факт, что если через проводник пропустить электрический ток, то вокруг него возникает магнитное поле.

Если, как в данном случае, металлический предмет находится в зоне действия этого магнитного поля, то на это время он начинает обладать свойствами магнита. А у Фарадея наоборот. Если создать магнитное поле, например, два магнита или на какой-нибудь замкнутый проводник подать питание, этим также можно получить магнитное поле, и в это магнитное поле поместить, например, замкнутый проводник, то по этому проводнику потечёт ток. И чтобы его зафиксировать, нужно в разрыв проводника включить измерительный прибор.

В зависимости от направления тока протекающего по замкнутому проводнику, стрелка измерительного прибора будет отклоняться то в одну, то в другую сторону. И если рамку, не отсоединяя от прибора вдвинуть между полюсами магнита сверху вниз так, чтобы она пересекла силовые линии магнитного поля, то стрелка прибора отклонится.

Рисунок 5 - Опыт Фарадея по преобразованию магнетизма в электричество
Рисунок 5 - Опыт Фарадея по преобразованию магнетизма в электричество

Это означает, что в цепи рамки начал протекать электрический ток. Если перемещать её снизу-вверх, то стрелка отклоняется в другую сторону, то есть в рамке снова возникает электрический ток, но течёт он теперь в противоположном направлении.

Давайте проделаем похожий опыт. Возьмём контур из медного провода, намотанного в несколько витков, и к его концам подключим мультиметр, чтобы мы могли наблюдать будет ли напряжение на концах провода.

Рисунок 6 - Простой опыт по преобразованию магнетизма в электричество
Рисунок 6 - Простой опыт по преобразованию магнетизма в электричество

А для создания магнитного потока используемым постоянный магнит. Будем его отдалять и приближать к контуру с измерительным прибором.

Рисунок 7 - Если сверху подводить магнит к контуру, то прибор показывает отрицательное значение напряжения, а при отводе магнита от контура, прибор показывает положительное значение напряжения (если перевернуть магнит, то все будет наоборот)
Рисунок 7 - Если сверху подводить магнит к контуру, то прибор показывает отрицательное значение напряжения, а при отводе магнита от контура, прибор показывает положительное значение напряжения (если перевернуть магнит, то все будет наоборот)

Рассмотрим формулу магнитного потока.

Рисунок 8 - Формула магнитного потока
Рисунок 8 - Формула магнитного потока

Магнитный поток прямо пропорционален произведению B, S и Cos(α).

Когда мы приближаем или отдаляем магнит от контура, как в последнем опыте, то меняется индукция магнитного поля, в контуре возникает ток.

Если менять площадь контура в магнитном поле, ток в контуре также будет возникать. И если мы будем менять угол контура в магнитном поле относительно нормали, магнитный поток будет меняться - это приведет к возникновению тока в контуре. То есть контур будем вращать в этом магнитном поле, менять угол относительно нормали, то будет меняться косинус, соответственно, будет меняться магнитный поток.

Таким образом, когда мы меняем магнитную индукцию приближая или отдаляется магнит от контура, меняем площадь контура или угол с нормалью, то меняется магнитный поток. Следовательно, в контуре возникает индукционный ток. Когда все эти величины постоянные, то есть не меняются, то магнитного потока нет. Значит и нет индукционного тока.

Проделаем другой опыт. Сначала в теории и сразу же на практике.

Есть ли взять два замкнутых контура и поместить их рядом друг с другом

Рисунок 9 - Два индуктивно связанных контура
Рисунок 9 - Два индуктивно связанных контура

В один контур включим измерительный прибор, а в другой контур через выключатель, подсоединим батарейку. Тогда в момент замыкания ключа в первом контуре, во втором контуре потечет ток. Здесь, как и в предыдущих случаях, возникновение тока во втором контуре основано на явлении электромагнитной индукции, то есть второй контур индуктивно связан с первым. Во втором контуре электрический ток возникает только в тот момент, когда в первом контуре ключ замыкается или размыкается (это в случае, если в первом контуре постоянный источник напряжения).

Давайте проделаем опыт. Для этого возьмем две катушки, намотанные на один каркас. В одну из катушек включим вместо измерительного прибора светодиод. А на вторую катушку будем подавать постоянное напряжение от аккумулятора.

Рисунок 10 - Опыт с двумя катушками на одном сердечнике
Рисунок 10 - Опыт с двумя катушками на одном сердечнике

В момент включения и отключения питания в первом контуре, во втором контуре возникает ток. Если первый контур питается от источника переменного напряжения, то во втором контуре также будет протекать ток. И если во второй контур включить прибор для измерения переменного тока, то он будет показывать наличие тока. При частоте 50 Гц эти частые изменения направления протекания тока, как бы, заменяют руку замыкающую и размыкающую цепь в первом контуре при постоянном источнике напряжения.

По этому принципу работает трансформатор на переменном токе.

Если взять две катушки и расположить их близко друг к другу, то по второй катушке потечет ток (в случае если на первую катушку подать питание, а вторую катушку замкнуть накоротко).

Рисунок 11 - Опыт с двумя катушками на общем сердечнике с возможностью менять количество витков и расстояние между ними
Рисунок 11 - Опыт с двумя катушками на общем сердечнике с возможностью менять количество витков и расстояние между ними

В результате индукции возбуждается ток во второй катушке, имеющий ту же форму и частоту. Степень индуктивной связи между катушками может быть различной. Катушки, находящиеся на очень малом расстоянии друг от друга – сильно связаны между собой (если количество витков в первой и второй катушках, примерно, одинаковы) и, соответственно, чем дальше катушки друг от друга, тем слабее их связь.

Изменять степень связи можно перемещая одну катушку относительно другой. Чем сильнее связаны катушки между собой, тем больше напряжение покажет вольтметр переменного тока, присоединенный ко второй катушке.

Если отдалять одну катушку относительно другой, то их связь слабеет.

Рассмотрим пример.

Рисунок 12 - Акустическая связь между двумя людьми
Рисунок 12 - Акустическая связь между двумя людьми

Если два человека находятся близко друг к другу, то акустическая связь между ними сильная, т. е. второй человек слышит хорошо все что говорит первый. А если расстояние между ними большое, то второй человек уже хуже различает и слышит слова, которые произносит первый (с учетом того, что он говорит не громче и не тише, а точно так же, как и говорил тогда, когда оба находились рядом друг с другом). В этом случае акустическая связь между ними слабая.

Если первая катушка имеет малое количество витков, а у второй катушки их значительно больше, даже если они располагаются близко друг к другу – взаимодействие между ними слабое. И если расстояние между катушками постоянное, то степень взаимодействия между ними можно регулировать, включая большее или меньшее количество витков в первую катушку, т. е. нужно намотать больше витков.

Рассмотри еще один пример.

Рисунок 13 - Акустическая связь между двумя людьми на большом расстоянии путем усиления голоса
Рисунок 13 - Акустическая связь между двумя людьми на большом расстоянии путем усиления голоса

Если второй человек находится на некотором расстоянии (постоянном) от первого человека, в этом случае степень акустического воздействия меняется путем усиления или ослабления голоса.

В качестве примера преобразования магнетизма в электричество, рассмотрим принцип работы мини генератора.

Рисунок 14 - Простой опыт преобразования магнетизма в электричество.
Рисунок 14 - Простой опыт преобразования магнетизма в электричество.

Когда мы вращаем ротор мини генератора, то на выводах обмоток статора получаем напряжение. Это мы можем наблюдать, например, подключив светодиод.

Подобные устройства могут работать как двигатель, так и генератор. Если подать напряжение на выводы обмоток статора, то ротор будет вращаться. Или если вращать ротор, то на выводах обмоток статора будет напряжение.

Рисунок 15 - Преобразования магнетизма в электричество в колесе самоката
Рисунок 15 - Преобразования магнетизма в электричество в колесе самоката

В таких самокатах стоит мини генератор. При вращении колеса, включаются светодиоды, подключенные к выводам обмоток статора.

Что ж на этом можно закончить знакомство с явлением электромагнитной индукции.

Если понравилась статья, подписывайтесь на канал и не пропускайте новые публикации.

Читайте также:

1. Как электроэнергия передается от электростанций до наших домов;
2. Что такое электрический ток - простыми словами;