Найти в Дзене

9. Рукописи не горят, или запрет на удаление информации

Несмотря на то, что законы микромира описывают явления, не наблюдающиеся в нашем родном макромире, тем не менее в нем тоже есть законы сохранения. Изотропность пространства относительно сдвига дает закон сохранения импульса, относительно вращения – закон сохранения момента импульса (он в микромире превращается в закон сохранения суммарного спина) и т.д. А там, где есть законы сохранения, там есть

Несмотря на то, что законы микромира описывают явления, не наблюдающиеся в нашем родном макромире, тем не менее в нем тоже есть законы сохранения. Изотропность пространства относительно сдвига дает закон сохранения импульса, относительно вращения – закон сохранения момента импульса (он в микромире превращается в закон сохранения суммарного спина) и т.д. А там, где есть законы сохранения, там есть и симметрии, т.е. как в макромире обращение движения планеты вокруг Солнца вспять дает наблюдать те же самые законы гравитации, которые обратимы во времени, так и в микромире состояние квантовой системы обратимо. Удобнее всего это описывается операторами унитарной эволюции, которые представляют собой матрицы, обладающие следующими свойствами:

1. Эти матрицы линейны, т.е. взаимодействуют с векторами состояния подобно числам в арифметике (с одним исключением – не предъявляется требование коммутативности, т.е. от перестановки множителей произведение может и поменяться)

2. Эти матрицы при транспонировании и комплексном сопряжении (эрмитовом преобразовании) превращаются в обратные

Последнее свойство называется унитарностью.

Предположим, что у нас есть некий объект, описывающийся вектором IΨ›. Эволюцию во времени этого объекта описывает некий оператор Û. Свойства этого оператора записываются так (I – это единичная матрица, т.е. оператор тождественности):

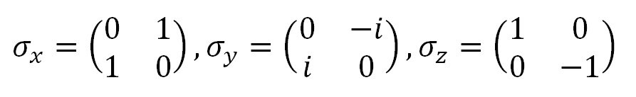
Примерами таких операторов являются, в частности, матрицы Паули, описывающие поворот на 90° относительно осей x, y и z:

-2

Свойство их унитарности можно проверить простыми вычислениями, а представить их действие – ну хотя бы верчением кубика Рубика. Кстати, и на кубике Рубика можно увидеть, что эти матрицы некоммутативны, т.е. порядок вращения влияет на его результат.

Предположим, что в каждый момент времени на систему Ψ воздействуют операторы Û1, затем Û2, Û3 и т.д. до Ûn, и в последний момент времени она приняла вид Ψn. Можно, пользуясь свойством унитарности этих операторов, последовательно применить операторы, обратные Û в обратном же порядке от Û†n до Û†1. К чему мы придем? Правильно, к начальному состоянию Ψ.

Наглядный пример – вращайте кубик Рубика в случайном порядке, но при этом записывайте все вращения. А потом, когда довертите его, казалось бы, до полного хаоса, остановитесь и начните вращать начиная с обратного последнему, и далее в обратном порядке до обратного первому. К чему мы придем? Правильно, к вновь собранному кубику.

Получается, что если мы знаем начальное состояние системы и последовательность всех воздействий на нее, мы можем точно предопределить все последующие состояния системы.

И наоборот – зная конечное состояние системы, мы можем проследить обратные воздействия на нее и прийти к самому началу.

Такое свойство квантовых систем называется унитарной эволюцией. Фактически оно означает, что состояние квантовой системы в любой момент точно предопределено как в прошлое, так и в будущее. Информация о системе абсолютна и полна. И она сохраняется, так же, как в классическом мире сохраняется, например, энергия! Ура, мы возвратились к детерминизму! Снова, как в классической физике, случайности уже не нужны?

Как бы не так. Система эволюционирует унитарно до тех пор, пока остается изолированной. Пока ее никто не захочет измерить. А при измерении из всей суперпозиции ее состояний выпадает только одно. И фактически – система разрушается, и информация обо всем, что не вошло в измеренное состояние, теряется.

А если мы расширим систему, внеся в нее измерительный прибор и потом наблюдателя? И прибор, и наблюдатель являются такими же квантовыми объектами (только макроскопичность делает их классическими), и они вполне могут описываться теми же операторами унитарной эволюции. И они тоже будут существовать абсолютно детерминированно и предсказуемо до тех пор, пока на них что-то не подействует извне. Но то, что подействовало, можно тоже включить в систему… и так до тех пор, пока мы не задействуем всю Вселенную. И вот теперь мы с облегчением вздохнем и скажем, что информация во Вселенной сохраняется и не может быть удалена.

Да, все, что разрушилось и исчезло, исчезло для нас, классических наблюдателей. Но оно навечно осталось в неразрушимой квантовой памяти Вселенной.

Кстати, довольно просто доказать невозможность удаления информации способом, обратным доказательству невозможности клонирования. Если не существует унитарного оператора, переводящего вектор IА0› в вектор IАА›, то не существует и обратного ему – переводящего IАА› в IА0›. Первое действие привело бы к появлению информации из ниоткуда, а второе – к удалению некоторой части информации. Ни то, ни другое в квантовом мире невозможно.

Каким образом квантовая унитарная эволюция с ее вечной предопределенностью переходит в классический второй закон термодинамики, который несет нам разрушение, болезни и смерть, поговорим чуть позже.