Найти в Дзене

8. Копирование информации – это совсем не очевидно!

Для нас совершенно очевидной кажется возможность скопировать какую-либо информацию – текстовую, зрительную, звуковую и т.д., и вся человеческая культура основана на возможности передачи знаний от одного человека к другому, в идеале – постоянно из поколения в поколение.
Однако я уже указывал такое наблюдение – в неживой природе (и вне техники, созданной людьми) информация не копируется. Впервые

Для нас совершенно очевидной кажется возможность скопировать какую-либо информацию – текстовую, зрительную, звуковую и т.д., и вся человеческая культура основана на возможности передачи знаний от одного человека к другому, в идеале – постоянно из поколения в поколение.

Однако я уже указывал такое наблюдение – в неживой природе (и вне техники, созданной людьми) информация не копируется. Впервые возможность создать объект, идентичный данному, появляется в живой природе в виде копирования генетического кода. А уже потом, с появлением разума, появилась возможность делать то же самое для неживых объектов в сфере техники.

Когда человечество сделало новый шаг к пониманию законов нашей Вселенной – проникло в глубины микромира, создав квантовую теорию, оказалось, что биты, созданные из объектов, подчиняющихся квантовым законам (их назвали кубитами), ведут себя не так, как классические биты – они находятся в состоянии суперпозиции, то есть не в одном состоянии (1 или 0), а в некотором состоянии, при котором 1 или 0 при измерении кубита выпадут с некоторой вероятностью.

Так вот, пионеры квантовой информатики задались таким вопросом – можно ли скопировать кубит в точности, повторив даже параметры суперпозиции его состояний, то есть чтобы при измерении исходного и скопированного кубита выпадали одни и те же вероятности.

В 1982 г ученики Дж. Уилера Вутерс и Зурек провели следующее математическое рассуждение.

Предположим, что нам нужен оператор, который создает квантовый объект, идентичный данному:

Здесь Ĉ – это оператор клонирования, который в квантовой механике представляет из себя в общем случае некоторую матрицу, которую умножают на вектор IА›, описывающий состояние квантового объекта – например, для электрона в атоме это могут быть его квантовые числа, описывающие его энергетический уровень и спин, для фотона – его поляризацию и т.д. Какова физическая природа кубита, такими и будут компоненты вектора, его описывающие. Оператор действует на вектор, и в результате получается некий другой вектор, описывающий состояние объекта после действия над ним.

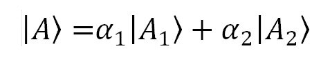
Предположим, что у нас есть объект, который находится в суперпозиции двух возможных состояний:

-2

То есть объект А при измерении может принимать состояния А1 и А2, а коэффициенты перед этими состояниями – это числа, которые при возведении в квадрат будут давать вероятности выпадения состояний А1 и А2 при его измерении. Таким образом, копируя (клонируя) объект, мы воздействуем оператором копирования (клонирования) на оба его состояния:

-3

Операторы в квантовой механике подчиняются законам линейной алгебры, и при действиях со скобками подчиняются распределительному закону умножения так же, как и числа, поэтому мы можем раскрыть скобки:

-4

Здесь я сначала раскрыл скобки, а потом записал тот результат, который я ожидал по определению оператора клонирования – оба состояния скопировались, и теперь у нас есть некая двойная система, в котором и первая, и вторая подсистемы идентичны изначально существовавшему объекту.

Но можно сделать и по-другому – сразу расписать действие оператора как декартово произведение объекта и его клона (опять же по определению этого оператора):

-5

И мы опять можем раскрыть скобки:

-6

Что мы получили? А получили мы не два клонированных объекта, а целых четыре, из которых два вроде являются «клонами», а другие два – это объекты, где состояние А1 превратилось в А2, а А2 – в А1. Причем коэффициенты при этих состояниях отражают уже совсем другие амплитуды вероятностей (амплитуда вероятности – это число, которое дает вероятность при возведении в квадрат). Это что, клонирование? Нет.

Мы пришли к противоречию. А это означает, что такого действия, которое способно скопировать квантовые объекты, не существует. На фундаментальном квантовом уровне информация уникальна и не может быть скопирована!

И кстати – она не может быть удалена. Для нас тоже очевидно, что можно взять и что-то стереть, уничтожив информацию. А на квантовом уровне есть закон сохранения информации. Но об этом чуть позже.