Добавить в корзинуПозвонить
Найти в Дзене

Как ,зная стороны треугольника, найти радиусы вписанной и описанной окружности?

Дан треугольник со сторонами :
a = 15
b = 13
c = 4

Дан треугольник со сторонами :

a = 15

b = 13

c = 4

Найти:

R - радиус описанной около треугольника окружности

r - радиус вписанной в треугольник окружности

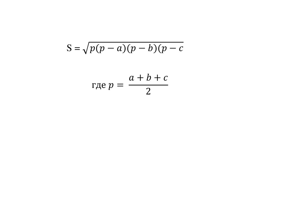
Найдем площадь треугольника по формуле Герона :

-2

Площадь треугольника по трем сторонам ( Формула Герона) :

Площадь треугольника равна квадратному корню из произведения полупериметра треугольника и разностей полупериметра и сторон треугольника.

-3

Зная площадь треугольника, мы можем найти радиус описанной около треугольника окружности по этой формуле:

-4

-5

С другой стороны площадь треугольника равна произведению полупериметра треугольника на радиус вписанной окружности.

-6

-7

Вот так легко найти радиусы вписанной и описанной окружности , если известны величины сторон треугольника.

Если Вам понравилась статья, поставьте лайк и подпишитесь на канал.

Удачи в науках!