Добавить в корзинуПозвонить
Найти в Дзене
Nuances of programming

10 Графовых алгоритмов

Графы превратились в невероятно сильное средство моделирования и получения данных из соцсетей, веб-страниц и ссылок, а также определения местоположения и маршрутов в GPS. Любой набор объектов, которые связаны друг с другом, можно сейчас представить с помощью графа.
Оглавление

Источник: Nuances of Programming

Графы превратились в невероятно сильное средство моделирования и получения данных из соцсетей, веб-страниц и ссылок, а также определения местоположения и маршрутов в GPS. Любой набор объектов, которые связаны друг с другом, можно сейчас представить с помощью графа.

В статье опишем 10 основных графовых алгоритмов, которые становятся очень полезными для анализа, а также области их применения.

Начнём с того, что приведём определение графа.

Что такое граф?

Граф состоит из конечного множества вершин (узлов) и набора рёбер, соединяющих эти вершины. Две вершины считаются смежными, если они соединены друг с другом одним и тем же ребром.

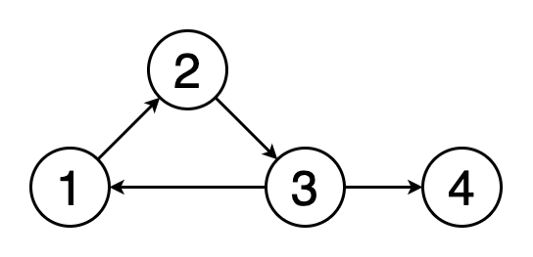
Ниже приведён ряд базовых понятий, относящихся к графам. Они проиллюстрированы примерами на рисунке 1.

  • Порядок: число вершин в графе.
  • Размер: число рёбер в графе.
  • Степень вершины: число рёбер, инцидентных вершине.
  • Изолированная вершина: вершина, которая не связана ни с одной другой вершиной графа.
  • Петля: ребро, вершины которого совпадают.
  • Ориентированный граф: граф, в котором все рёбра имеют направление, определяющее начальную и конечную вершину.
  • Неориентированный граф: граф с рёбрами, которые не имеют направления.
  • Взвешенный граф: рёбра такого графа имеют определённый вес.
  • Невзвешенный граф: рёбра такого графа не имеют никаких весов.
Рис. 1. Терминология графов (схематичное изображение)
Рис. 1. Терминология графов (схематичное изображение)

1. Поиск в ширину

Рис. 2. Визуальное отображение обхода на графах (поиск в ширину)
Рис. 2. Визуальное отображение обхода на графах (поиск в ширину)

Обход или поиск  —  это одна из фундаментальных операций, выполняемых на графах. Поиск в ширину начинается с определённой вершины, затем исследуются все её соседи на данной глубине и происходит переход к вершинам следующего уровня. В графах, в отличие от деревьев, могут быть циклы  —  пути, в которых первая и последняя вершины совпадают. Поэтому необходимо отслеживать посещённые алгоритмом вершины. При реализации алгоритма поиска в ширину используется структура данных «очередь».

На рисунке 2 показан пример того, как выглядит поиск в ширину на графе. Жёлтым цветом помечаются обнаруженные вершины, красным  —  посещённые.

Применяется для:

  • определения кратчайших путей и минимальных остовных деревьев;
  • индексации веб-страниц поисковыми ботами;
  • поиска в соцсетях;
  • нахождения доступных соседних узлов в одноуровневых сетях, таких как BitTorrent.

2. Поиск в глубину

Рис. 3. Визуальное отображение обхода на графах (поиск в глубину)
Рис. 3. Визуальное отображение обхода на графах (поиск в глубину)

Поиск в глубину начинается с определённой вершины, затем уходит как можно дальше вдоль каждой ветви и возвращается обратно. Здесь тоже необходимо отслеживать посещённые алгоритмом вершины. Для того, чтобы стало возможным возвращение обратно, при реализации алгоритма поиска в глубину используется структура данных «стек».

На рисунке 3 показан пример того, как выглядит поиск в глубину на том же графе, который использован на рисунке 2. Граф обходится на всю глубину каждой ветви с возвращением обратно.

Применяется:

  • для нахождения пути между двумя вершинами;
  • для обнаружения циклов на графе;
  • в топологической сортировке;
  • в головоломках с единственным решением (например, лабиринтах).

3. Кратчайший путь

Рис. 4. Визуальное отображение кратчайшего пути от вершины 1 к вершине 6
Рис. 4. Визуальное отображение кратчайшего пути от вершины 1 к вершине 6

Кратчайший путь от одной вершины графа к другой  —  это путь, при котором сумма весов рёбер, его составляющих, должна быть минимальна.

На рисунке 4 показан кратчайший путь на графе от вершины 1 до вершины 6.

Алгоритмы нахождения кратчайшего пути:

  1. Алгоритм Дейкстры.
  2. Алгоритм Беллмана-Форда.

Применяются в:

  • картографических сервисах типа Google maps или Apple maps для прокладки маршрутов и определения местоположения;
  • сетях для решения проблемы минимальной задержки пути;
  • абстрактных автоматах для определения через переход между различными состояниями возможных вариантов достижения некоторого целевого состояния, например минимально возможного количества ходов, необходимого для победы в игре.

4. Обнаружение циклов

Рис. 5. Цикл
Рис. 5. Цикл

Цикл  —  это путь, в котором первая и последняя вершины графа совпадают. То есть путь, начинающийся и завершающийся в одной и той же вершине, называется циклом. Обнаружение циклов  —  это процесс выявления таких циклов. На рисунке 5 показано, как происходит обнаружение цикла.

Алгоритмы обнаружения цикла:

  1. Алгоритм Флойда.
  2. Алгоритм Брента.

Применяются:

  • в распределённых алгоритмах, использующих сообщения;
  • для обработки крупных графов с использованием распределённой системы обработки в кластере;
  • для обнаружения взаимоблокировок в системах с параллельным выполнением;
  • в криптографических приложениях для выявления ключей сообщения, которые могут соответствовать одному и тому же зашифрованному значению.

5. Минимальное остовное дерево

Рис. 6. Визуальное отображение минимального остовного дерева
Рис. 6. Визуальное отображение минимального остовного дерева

Минимальное остовное дерево  —  это подмножество рёбер графа, которое соединяет все вершины, имеющие минимальную сумму весов рёбер, и без циклов.

На рисунке 6 показан процесс получения минимального остовного дерева.

Алгоритмы поиска минимального остовного дерева:

  1. Алгоритм Прима.
  2. Алгоритм Крускала.

Применяются:

  • для создания деревьев для распределения данных в компьютерных сетях;
  • в кластерном анализе с использованием графов;
  • при сегментации изображений;
  • при социально-географическом районировании, когда смежные регионы объединяются.

6. Сильно связные компоненты

Рис. 7. Сильно связные компоненты
Рис. 7. Сильно связные компоненты

Граф считается сильно связным, если все вершины в графе достижимы из всех остальных вершин.

На рисунке 7 показан пример того, как выглядит граф с тремя сильно связными компонентами, вершины которых окрашены в красный, зелёный и жёлтый цвета.

Алгоритмы поиска сильных компонент связности:

  1. Алгоритм Косараджу.
  2. Алгоритм Тарьяна.

Применяются:

  • для вычисления декомпозиции Далмейджа-Мендельсона, которая представляет собой разделение вершин двудольного графа на подмножества;
  • в соцсетях для поиска групп сильно связанных между собой людей и выдачи рекомендаций на основе общих интересов.

7. Топологическая сортировка

Рис. 8. Топологическое упорядочение вершин графа
Рис. 8. Топологическое упорядочение вершин графа

Топологическая сортировка графа  —  это такое линейное упорядочение его вершин, в котором для каждого направленного ребра, например (u, v), вершина u предшествует вершине v.

На рисунке 8 показан пример топологического упорядочения вершин, согласно которому вершина 5 должна следовать за вершинами 2 и 3, а вершина 6  —  за вершинами 4 и 5.

Алгоритмы поиска топологической сортировки:

  1. Алгоритм Кана.
  2. Алгоритм на основе поиска в глубину.

Применяются:

  • при планировании выполнения команд;
  • при сериализации данных;
  • определения порядка выполняемых при компиляции задач в Makefiles;
  • для разрешения зависимостей символов в компоновщиках.

8. Раскраска графов

Рис. 9. Раскраска вершин
Рис. 9. Раскраска вершин

При раскраске графов элементам графа присваиваются цвета с учётом определённых условий. Раскраска вершин  —  наиболее часто используемый метод окраски графов. При этом вершины графа окрашиваются с использованием k цветов, а любым двум соседним вершинам должны соответствовать разные цвета. Другие методы окраски  —  раскраска рёбер и раскраска граней.

Хроматическое число графа  —  это наименьшее количество цветов, необходимых для окрашивания графа.

На рисунке 9 показан пример того, как выглядит раскраска вершин графа с использованием 4-х цветов.

Алгоритмы с раскраской графов:

  1. Алгоритмы, использующие поиск в ширину или поиск в глубину.
  2. Жадная раскраска.

Применяются для:

  • составления расписаний;
  • назначения радиочастот мобильных сетей;
  • моделирования и решения головоломок типа судоку;
  • проверки того, является ли граф двудольным;
  • раскрашивания географических карт стран или штатов, на которых соседние страны или штаты имеют разные цвета.
-11

9. Максимальный поток

Рис. 10. Определение максимального потока
Рис. 10. Определение максимального потока

Можно смоделировать граф в виде сети потоков с весами рёбер в качестве пропускной способности этих потоков. В задаче максимального потока требуется найти такой путь потока, который может обеспечить максимально интенсивность потока.

На рисунке 10 показан пример того, как выглядит нахождение максимального потока сети и определение конечного значения потока.

Алгоритмы нахождения максимального потока:

  1. Алгоритм Форда-Фулкерсона.
  2. Алгоритм Эдмондса-Карпа.
  3. Алгоритм Диница.

Применяются:

  • в авиакомпаниях для составления полётного расписания экипажей;
  • при сегментации изображений для определения фона и переднего плана изображения.

10. Паросочетания

Паросочетание на графе  —  это набор рёбер, которые не имеют общих вершин (т.е. хотя бы двух рёбер, не имеющих общей вершины). Паросочетание называется максимальным, если оно содержит максимально возможное число рёбер, сочетающихся с как можно большим количеством вершин.

На рисунке 11 показано получение полного паросочетания в двудольном графе с двумя наборами вершин, обозначенных оранжевым и синим цветами.

Алгоритмы нахождения паросочетаний:

  1. Алгоритм Хопкрофта-Карпа.
  2. Венгерский алгоритм.
  3. Алгоритм сжатия цветков.

Применяются:

  • в подборе пары для жениха или невесты (задача о стабильных браках);
  • для определения вершинного покрытия;
  • в теории транспорта для решения задачи распределения ресурсов и оптимизации перевозок.

Заключение

Надеюсь, статья была полезной и в простой и краткой форме познакомила вас с графовыми алгоритмами. 😇

А с реализациями графовых алгоритмов можно ознакомиться в модулях на Python networkx и igraph.

Спасибо за внимание. 😊

Читайте также:

Читайте нас в Telegram, VK

Перевод статьи Vijini Mallawaarachchi: 10 Graph Algorithms Visually Explained