Добавить в корзину
Позвонить
Найти в Дзене
Войти
григорий кудрявцев
441 подписчик
Подписаться
ЕГЭ ПО МАТЕМАТИКЕ ПРОФИЛЬНОГО УРОВНЯ, ЗАДАНИЕ №13, РЕШЕНИЕ ИРРАЦИОНАЛЬНОГО УРАВНЕНИЯ.
28 ноября 2020
28 ноя 2020
536
~1 мин
Приветствую Вас, уважаемые читатели!
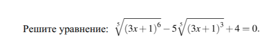
Сегодня мы разберём иррациональное уравнение, которое будем решать заменой переменной.
#егэ математика профиль #егэ по математике #экзамены #решение уравнений
Введем новую переменную:
Приветствую Вас, уважаемые читатели!
Сегодня мы разберём иррациональное уравнение, которое будем решать заменой переменной.
#егэ математика профиль #егэ по математике #экзамены #решение уравнений
Введем новую переменную:
...
Читать далее
Оглавление
Приветствую Вас, уважаемые читатели!
Сегодня мы разберём иррациональное уравнение, которое будем решать заменой переменной.
Введем новую переменную:
Показать ещё
Приветствую Вас, уважаемые читатели!
Сегодня мы разберём иррациональное уравнение, которое будем решать заменой переменной.
#егэ математика профиль #егэ по математике #экзамены #решение уравнений
Введем новую переменную:
Получим квадратное уравнение:
Решим его
Вернемся к исходной переменной и решим два уравнения
Извлечем корень третьей степени из обеих частей уравнения
Возведем в пятую степень
Решая линейные уравнения, получим корни:
Подготовка к ЕГЭ
128,7 тыс интересуются
Следить за темой
22
4
1353711287.975.1778714817909.32490