Найти в Дзене
Электротехник Равилов

Баланс мощностей цепи переменного тока. Активная, реактивная и полная мощности - пример

Продолжаем решать задачи по электротехнике ТОЭ. В сегодняшней статье составим баланс мощностей для цепи переменного тока, а именно баланс активных, реактивных и полных мощностей.
Для примера рассмотрим не самую сложною схему цепи, состоящую из RLC элементов. Заранее в ней были найдены все токи. О том как находить токи ветвей в цепях переменного тока, мы уже ранее рассматривали. Поэтому сами

Продолжаем решать задачи по электротехнике ТОЭ. В сегодняшней статье составим баланс мощностей для цепи переменного тока, а именно баланс активных, реактивных и полных мощностей.

Для примера рассмотрим не самую сложною схему цепи, состоящую из RLC элементов. Заранее в ней были найдены все токи. О том как находить токи ветвей в цепях переменного тока, мы уже ранее рассматривали. Поэтому сами методы расчета цепей мы пропустим, а перейдем сразу к составлению баланса полной мощности.

Для более сложных цепей баланс составляется точно так же. По сложности составлении баланса для цепей постоянного и переменного тока, принципиальных отличий нет, все тоже самое.

Чтобы найти мощность источника энергии, необходимо умножить ток на напряжение. Чтобы найти мощность на сопротивлении, необходимо умножить модуль квадрата тока на сопротивление. Это работает как для цепей постоянного тока, так и для переменного.

Рисунок 1 - Исходная схема цепи и дано
Рисунок 1 - Исходная схема цепи и дано

Имеется схема цепи, изображенная на рисунке 1. Даны сопротивления резисторов, сопротивления реактивных элементов в комплексном виде, входное напряжение и токи. Требуется составить баланс активных, реактивных и полных мощностей.

Как видим, модули всех токов уже известны(ранее мы их нашли). Токи записаны в показательной форме. Мы не будем искать отдельно активную и реактивную мощности, а сразу найдем полную мощность.

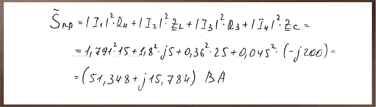
Итак, полная мощность приемников

Рисунок 2 - Полная мощность приемников
Рисунок 2 - Полная мощность приемников

Здесь реальная часть от полной мощности - это активная мощность, а мнимая составляющая - реактивная мощность.

Pпр=Re(Sпр)=51,348 (Вт)

Qпр=Im(Sпр)=15,784 (ВАр)

Нашли полную, активную и реактивную мощности приемников. Найдем полную мощность источников:

Рисунок 3 - Полная мощность источников
Рисунок 3 - Полная мощность источников

Здесь так же

Pист=Re(Sист)=51,36 (Вт)

Qист=Im(Sист)=15,78 (ВАр)

И если все числа совпали, пишем Sист≈Sпр.

Если хоть какая-то мощность отличается (активная или реактивная), то баланс все равно выполняется в случае, если погрешность не превышает 3%. В некоторых учебниках пишут 5%, но лучше ориентироваться до 3%.

Формула для расчета погрешности, следующая:

Рисунок 4 - Погрешность расчета баланса мощностей (погрешность активных мощностей)
Рисунок 4 - Погрешность расчета баланса мощностей (погрешность активных мощностей)

Теперь можно с уверенностью сказать, что баланс активных мощностей выполняется. Допускается до 3%, а мы получили 0,02%. Для погрешности реактивной мощности, используется та же самая формула. Считаете ее, и если она так же не превышает 3%, значит решение задачи верное.

Что еще важно знать перед тем, как приступить к составлению баланса?

После того как вы получили токи, применяя какой-либо метод расчета сложных электрических цепей, проверьте выполняется ли первый закон Кирхгофа. Для этого составьте для какого-либо узла уравнение по первому закону Кирхгофа. Например

I1-I2+I3-I4=0 => I4=I1-I2+I3

Если алгебраическая сумма токов I1, I2 и I3 будет численно равна току I4, значит решение верное - можно сразу переходить к составлению баланса мощностей. Но на всякий случай лучше составить уравнение еще для какого-нибудь узла и проверить, выполняется ли первый закон Кирхгофа.

Рассмотрим как составлять баланс активных, реактивных и полных мощностей в программе маткад (все комплексные числа предварительно были переведены из показательной формы в алгебраическую).

Рисунок 5 - Баланс мощностей, составленный в программе маткад
Рисунок 5 - Баланс мощностей, составленный в программе маткад

Вот таким образом составляется баланс мощностей вручную и в маткаде.

Если понравилась статья, подписывайтесь на канал и не пропускайте новые публикации.

Читайте также:

1. Как электроэнергия передается от электростанций до наших домов;
2. Что такое электрический ток - простыми словами;