Добавить в корзинуПозвонить
Найти в Дзене
Успешный ученик

Преобразование выражений, содержащих квадратные корни

Продолжаем с тобой применять свойства корней к преобразованию выражений, содержащих корни.
изображение из открытых источников
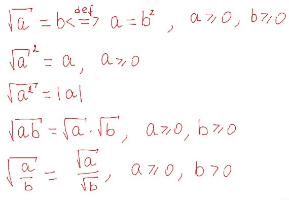
Для начала вспомним всё, что знаем о корнях.
А ещё нам с тобой сегодня понадобятся формулы сокращённого умножения. Давай их тоже повторим.
Оглавление

Продолжаем с тобой применять свойства корней к преобразованию выражений, содержащих корни.

изображение из открытых источников
изображение из открытых источников

Для начала вспомним всё, что знаем о корнях.

-2

А ещё нам с тобой сегодня понадобятся формулы сокращённого умножения. Давай их тоже повторим.

-3

Способы разложения на множители помнишь?

  • вынесение общего множителя за скобки
  • метод группировки
  • использование формул сокращённого умножения

Давай-ка выполним следующее задание.

Разложите на множители:

-4

Разберись с задание. Видео тебе в помощь.

Задание 2. Сократи дробь

Помнишь, что нужно сделать, чтобы сократить дробь? Правильно, попробовать разложить на множители числитель и знаменатель этой дроби.

-5

Думаю смысл задания понятен. Продолжаем сокращать дроби.

-6

Продолжаем работать над сокращением дробей.

-7

Двигаемся дальше. Вот ещё задание на сокращение дробей.

-8

Сократим ещё две дроби и пойдём отдыхать)

-9

На этой ноте поставим с тобой точку. Встретимся в следующем уроке. Спасибо, что провел(а) это время со мной и с математикой.