Добавить в корзинуПозвонить
Найти в Дзене
Успешный ученик

Пропорции

С отношениями мы с тобой уже разобрались, теперь пришло время узнать новое понятие - пропорция. Думаю, ты уже слыша(а) это слово. Мы не только узнаем, что оно означает в математике, но ещё и научимся применять её к решению задач. Но обо всё по порядку.
Для начала вспомним наши старые добрые отношения) Что называется отношением чисел a и b?
Отношением чисел a и b, отличных от нуля, называется
Оглавление

С отношениями мы с тобой уже разобрались, теперь пришло время узнать новое понятие - пропорция. Думаю, ты уже слыша(а) это слово. Мы не только узнаем, что оно означает в математике, но ещё и научимся применять её к решению задач. Но обо всё по порядку.

Для начала вспомним наши старые добрые отношения) Что называется отношением чисел a и b?

Отношением чисел a и b, отличных от нуля, называется частное этих чисел.

Задание 1.

Равны ли отношения?

-2

Таким образом, отношения под буквами а и г равны. Значит их можно записать в виде равенства.

-3

Читается так:

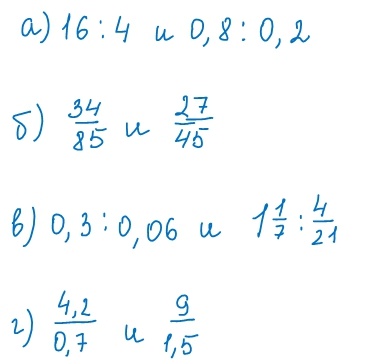
16 относится к 4 также, как 0,8 относится к 0,2. И 4,2 относится к 0,7 также, как 9 относится к 1,5.

Такие равенства называются пропорциями.

Пропорция - это равенство двух отношений.
-4

Задание 2

Запишите в виде пропорции утверждение:

а) 2 относится к 7, как 6 относится к 21;

Проверь себя!

2:7 = 6:21

б) отношение 7,2 к 0,8 равно отношению 0,09 к 0,01

Уверена, что у тебя получилось!

7,2:0,8 = 0,09:0,01

-5
-6

Эти пропорции можно было записать и с помощью обыкновенных дробей:

-7

Кстати, пропорцию под пунктом в) в виде обыкновенной дроби лучше не записывать. Уж больно дроби страшные получаются)

Задание 3

Вычислив данные отношения, установите, можно ли из них составить пропорцию. В случае утвердительного ответа запишите эту пропорцию.

а) 2,8:0,7 и 152:38

-8

С понятием пропорции разобрались. Пришло время узнать основное свойство пропорции.

Произведение крайних членов пропорции равно произведению её средний членов.
-9

Иногда говорят, что пропорцию можно решить крест на крест. Догадался (лась), почему так говорят?

Кстати, справедливо и обратное утверждение.

Если a, b, c и d - числа, отличные от нуля, и ad = bc, то отношения a:b и c:d равны и могут образовать пропорцию a:b = c:d.

Воспользуемся этим утверждением для выполнения следующих заданий.

Задание 4.

Не вычисляя данные отношения, установите, можно ли из них составить пропорцию:

а) 1,6:3,6 и 0,5:1,125

-10

Кстати, если ad = bc, то составить можно не одну пропорцию, а целых четыре! Переместительный закон умножения ведь никто не отменял.

-11

Отсюда приходим к выводу, что средний и крайние члены пропорции можно менять местами.

Задание 5

Решите уравнение

-12

-13

-14

Задание 6.

Решите с помощью пропорции задачу.

а) Для изготовления 8 одинаковых деталей необходимо 18 кг металла. Сколько таких деталей можно изготовить из 27 кг металла?

б) Из 140 кг свежих вишен получают 21 кг сушёных. Сколько килограммов сушёных вишен получится из 160 кг свежих? Сколько килограммов свежих вишен необходимо взять, чтобы получить 31,5 кг сушёных?

в) За 5 ч турист прошёл 24 км. Какое расстояние он пройдёт за 8 ч с той же скоростью?

г) Объём бруска , изготовленного из древесины вишни, равен 800 кубических сантиметров, а его масса - 528 г. Какова масса бруска, изготовленного из этого же материала, если его объём равен 1500 кубических сантиметров?

д) Из 45 тон железной руды выплавляют 25 тонн железа. Сколько требуется тонн руды, чтобы выплавить 10 т железа?

е) Площадь поля 480 га. Пшеницей засеяли 24% площади поля. Сколько гектаров земли засеяли пшеницей?

ж) За первый час автомобиль проехал 70 км, что составило 14% всего пути. Сколько километров составляет весь путь?

з) Сплав содержит 12% цинка. Сколько килограммов цинка содержится в 80 кг сплава?

Задание 7.

Расстояние между селениями Приречное и Приозёрное на местности составляет 288 км, а на карте - 9,6 см. Какое расстояние между селениями Кленовое и Калиновое на этой же карте, если расстояние на местности между ними равно 324 км?

Продолжение следует...