Добавить в корзинуПозвонить
Найти в Дзене
Успешный ученик

Квадратный корень из степени. Применение свойств квадратного корня

В предыдущей публикации мы узнали свойство квадратного корня из степени. В этой будем применять свойства корня к вычислениями и преобразованиям выражений.
фото из открытых источников
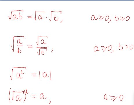
Для начала вспомним, какие свойства корня мы знаем.
Вспомнил(а)? Предлагаю тебе выполнить несложные вычисления. После обязательно проверь себя!

В предыдущей публикации мы узнали свойство квадратного корня из степени. В этой будем применять свойства корня к вычислениями и преобразованиям выражений.

фото из открытых источников
фото из открытых источников

Для начала вспомним, какие свойства корня мы знаем.

-2

Вспомнил(а)? Предлагаю тебе выполнить несложные вычисления. После обязательно проверь себя!

-3

Проверка решения в видео.

Отлично! Давай ещё немного посчитаем.

Найди значение выражения:

-4

Про проверку не забудь, как говорится, доверяй, но проверяй)))

Пошли дальше. Выполни следующее задание.

Найди значение выражения:

-5
-6

Получилось? Проверка в видео.

А с уравнениями справишься? Попробуй!

-7

Есть мысли, как решать? Если что, можешь подсмотреть в видео.

На последок держи ещё несколько примеров. Проверка тоже будет.

-8

Решение ниже.

Ну что? Мне кажется, тренировка прошла на славу. До встречи в следующих публикациях.