Добавить в корзинуПозвонить
Найти в Дзене
ABC-traderR

Технический анализ BTC/USD (Ноябрь 2020)

Виртуальная валюта уверенно идет вверх, отрабатывая цель графического паттерна.
BTC/USD MN
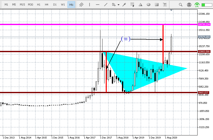
Напомню, в июле этого года произошел пробой границы паттерна Симметричный треугольник (по ценам закрытия). На графике BTC/USD MN видно, как после пробоя верхняя граница графической фигуры поменяла свое свойство, с сопротивления на поддержку. В сентябре произошел ложный пробой с внешней стороны, но к

Виртуальная валюта уверенно идет вверх, отрабатывая цель графического паттерна.

BTC/USD MN
BTC/USD MN

Напомню, в июле этого года произошел пробой границы паттерна Симметричный треугольник (по ценам закрытия). На графике BTC/USD MN видно, как после пробоя верхняя граница графической фигуры поменяла свое свойство, с сопротивления на поддержку. В сентябре произошел ложный пробой с внешней стороны, но к закрытию периода цена вновь вышла на внешнюю сторону, показав силу уровня.

Думаю многие знакомы с принципами графических паттернов, но все же для некоторых напомню, что при пробое целью является высота основания паттерна (Треугольника), в данном случае цель-20730.

Похоже что пара летит с опережением графика, не смотря что до места назначения (20730) довольно много пунктов, тем более каждой ракете нужно много топлива, поэтому не редки остановки.

BTC/USD Weekly
BTC/USD Weekly

На недельном графике BTC/USD видно, цена встретилась с линиями тренда, которые в данный момент являются для нее сопротивлением. Но сила данного сопротивления вызывает сомнение, так как удар пришелся в место пересечения линий. На пересечениях образуются слабые области, в данных местах цена может несколько раз перейти с одной стороны на другую.

На часовике BTC/USD наблюдается развитие коррекции.

BTC/USD H1
BTC/USD H1

Наиболее вероятны два сценария развития коррекции, возможно цена оттолкнется от линий локального ценового диапазона 17416 или 16260, которые играют роль ближайших поддержек. После чего продолжится восхождение к историческому максимуму, где он будет в этот раз неизвестно, биткоин может удивлять, так что не исключено, что в этот раз без этого не обойдется.

Желаю удачи!

Подписаться на канал