Найти в Дзене
Сергей Нечепуренко

Почему при приближении скорости объекта к скорости света время замедляется.

Все мы слышали о теории относительности Эйнштейна.
Она включает специальную теорию относительности (СТО) и общую теорию относительности (ОТО)
СТО – описывает равномерное движение тел при скоростях близких к скорости света.
ОТО – описывает равноускоренное движение тел и гравитацию.

Все мы слышали о теории относительности Эйнштейна.

Она включает специальную теорию относительности (СТО) и общую теорию относительности (ОТО)

СТО – описывает равномерное движение тел при скоростях близких к скорости света.

ОТО – описывает равноускоренное движение тел и гравитацию.

Формулы СТО легко выводятся из двух фактов.

1) Скорость света в вакууме одинакова во всех системах координат, движущихся прямолинейно и равномерно и составляет 300 000 км/сек. Этот факт был выявлен экспериментально. Опыт показал, что скорость света на земле одинакова в любом направлении, несмотря на движение земли по орбите.

2) Законы природы одинаковы во всех системах координат, движущихся прямолинейно и равномерно.

Итак. Давайте докажем, что на ракете летящей на скорости близкой к скорости света, время идет медленнее, чем на планете, мимо которой она пролетает.

Для этого достаточно знаний на уровне 8-го класса школы.

Представьте себе ракету летящую на скорости 200 000 км/сек относительно планеты. Обозначим скорость ракеты буквой V.

В ракете в точке А на одной стороне имеется фонарик. (Смотреть рисунок) Он испускает луч света перпендикулярно движению ракеты в точку B на противоположной стороне ракеты. Так как скорость света в системе отсчета корабля постоянна, то свет пройдет расстояние AB со скоростью света c за время t. Расстояние AB будет равно AB=c*t

За этим смотрел наблюдатель на планете. Он увидел, что свет был испущен из точки A перпендикулярно движению ракеты и достиг противоположной стороны ракеты за время T.

В какую точку придет этот луч света по наблюдению неподвижного наблюдателя?

Очевидно он достигнет той же точки на противоположной стороне ракеты, в которую он пришел в системе отсчета ракеты.

Если бы это было не так, то мы бы получили неразрешимое противоречие, заключающееся в том, что один и тот же процесс приводит к разным результатам, если на него смотреть из разных систем отсчета.

Значит луч света придет в ту же точку на противоположной стороне ракеты, что и в случае наблюдения за ним из ракеты.

Но пока луч света шел из точки А ракета сместилась на расстояние BC равное

BC=V*T. Где V – скорость ракеты; T – время движения луча зафиксированное наблюдателем на планете.

Следовательно, наблюдатель на планете увидит, что луч света из точки А придет в точку C смещенную вперед по ходу движения ракеты.

АС=с*T.

Наблюдатель на планете будет видеть, что свет шел не перпендикулярно движению ракеты, а под углом отличающимся от 90 градусов.

В системе отсчета наблюдателя на планете скорость света также постоянна и равна c (300 000 км/сек).

Расстояние AC свет прошел за время T. Можем вычислить расстояние AC

AC=c*T

Скорость света в обоих системах отсчета одинаковая, но расстояние во втором случае пройдено большее.

Как же разрешить это противоречие? Эйнштейн сделал смелое предположение, что время в разных системах отсчета течет с разной скоростью.

В системе отсчета планеты время T (большое) между двумя событиями прошло большее, чем время t (маленькое) в системе отсчета ракеты.

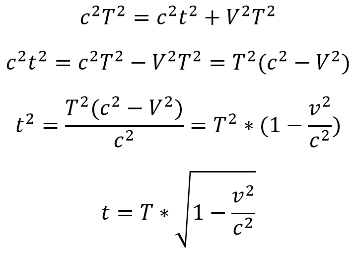
Треугольник ABC прямоугольный. Значит, мы можем применить теорему Пифагора.

-2

Мы выяснили, что

AC=cT; BC=VT ; AB=ct

Где t – время движения света в системе отсчета ракеты.

T - время движения света в системе отсчета планеты.

V – скорость ракеты

c- скорость света.

Мы можем вычислить t

-3

В этой формуле значение квадратного корня всегда меньше 1. Значит на один и тот же процесс, время t в системе отсчета ракеты проходит меньше чем время T в системе отсчета неподвижного наблюдателя.

Что и требовалось доказать.

По этой формуле в нашем примере на ракете летящей со скоростью 200 000 км/сек время будет идти медленнее 25,4%

При скорости ракеты 259 000 км/сек время будет идти медленнее в 2 раза.

При скорости 290 000 км/сек медленнее в 4 раза.

При скорости 298400 км/сек медленнее в 10 раз.

При скорости 299999 км/сек медленнее в 387 раз.

Вопросы к читателям.

Что будет если люди создадут космический корабль, летящей на скорости близкой к скорости света и слетают до соседней звезды Альфа центавра и вернулся обратно на землю?

Расстояние до соседней звезды Альфа центавра 4 световых года.

Предположим космический корабль вылетел с земли в 2100 году.

Летел на скорости 290 000 км/сек.

Вопросы.

1) Какой год будет на земле при возвращении космонавтов на землю?

2) Космонавты за время полета состарятся на 8 лет или на иное количество лет?

3) Будет ли во время полета на около космической скорости человек стареть медленнее? Если это так, то полеты к звездам на тысячи световых лет будут реальны на время жизни одного человека.