Добавить в корзинуПозвонить
Найти в Дзене

Как извлечь корень из комплексного числа?

Математика онлайн. Доступно о сложном Здравствуйте, уважаемые любители математики! Комплексные числа можно представить в трех различных формах: алгебраической, тригонометрической и показательной. Разберем все три случая. Извлечение корней из комплексных чисел в алгебраической форме Данный способ можно применять лишь в самых простых случаях. Кроме того, вычисления получаются достаточно громоздкими. Однако для применения этого метода достаточно знания школьного курса математики. Для примера вычислим квадратный корень из -1+i. При вычислении корня получается какое-то (пока неизвестное) комплексное число. Обозначим его a+ib. Далее возведем обе части в квадрат и преобразуем правую часть. Помним, что мнимая единица i во второй степени равна -1. Два комплексных числа равны, если их действительные и, соответственно, мнимые части равны. Приравнивая их, получаем систему уравнений. При помощи замены переменной ее несложно свести к дробно-рациональному уравнению. Знаменатель эт

Математика онлайн. Доступно о сложном

Как вычислить все значения корня?
Как вычислить все значения корня?

Здравствуйте, уважаемые любители математики!

Комплексные числа можно представить в трех различных формах: алгебраической, тригонометрической и показательной.

Разберем все три случая.

Извлечение корней из комплексных чисел в алгебраической форме

Данный способ можно применять лишь в самых простых случаях. Кроме того, вычисления получаются достаточно громоздкими.

Однако для применения этого метода достаточно знания школьного курса математики.

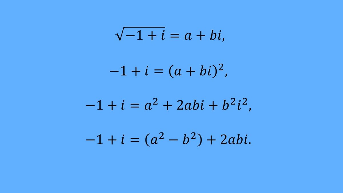
Для примера вычислим квадратный корень из -1+i.

При вычислении корня получается какое-то (пока неизвестное) комплексное число. Обозначим его a+ib.

Далее возведем обе части в квадрат и преобразуем правую часть. Помним, что мнимая единица i во второй степени равна -1.

Значение корня равно некоторому комплексному числу
Значение корня равно некоторому комплексному числу

Два комплексных числа равны, если их действительные и, соответственно, мнимые части равны.

Приравнивая их, получаем систему уравнений.

При помощи замены переменной ее несложно свести к дробно-рациональному уравнению.

Знаменатель этого уравнения не может быть равен нулю (если a=0, то второе уравнение системы превращается в ложное равенство 0=1).

Задача сводится к системе уравнений
Задача сводится к системе уравнений

Приравнивая числитель к нулю, получаем биквадратное уравнение. Решаем его при помощи замены переменной.

Решение биквадратного уравнения
Решение биквадратного уравнения

Второе значение t отрицательно, поэтому его отбрасываем.

Теперь можно вычислить a, затем b.

Действительная и мнимая части искомого числа
Действительная и мнимая части искомого числа

Зная действительные и мнимые части, легко выписать значения квадратного корня.

Значения корня
Значения корня

Обратите внимание, что квадратный корень имеет два значения. Если бы вычисляли кубический корень, то значений было бы три.

В общем случае, при вычислении корня n-й степени, получается n значений.

«Странная» нумерация корней (нулевой и первый) будет понятна в следующей части.

Продолжение

Не забудьте подписаться на канал, если

- Вам интересны вопросы, которые здесь разбираются;

- Вам могут потребоваться консультации по математике (подробнее здесь).

Все статьи серии "Лайфаки для студентов"

Рубрикатор канала

О канале

Тесты по математике