Найти в Дзене

Раскрываю секрет написания ОВР с органикой! Все намного проще, чем тебя учили (если, конечно, учили)

Вы хотите познавать химию и профессионально, и с удовольствием? Тогда вам сюда! Автор методики системно-аналитического изучения химии Богунова В.Г. раскрывает тайны решения задач, делится секретами мастерства при подготовке к ОГЭ, ЕГЭ, ДВИ, олимпиадам
Хочешь сдать ЕГЭ по химии и биологии на 90+? WhatsApp репетитора Богуновой В.Г. +7(903)186-74-55
Сайт репетитора Богуновой В.Г.
Репетитор Богунова

Вы хотите познавать химию и профессионально, и с удовольствием? Тогда вам сюда! Автор методики системно-аналитического изучения химии Богунова В.Г. раскрывает тайны решения задач, делится секретами мастерства при подготовке к ОГЭ, ЕГЭ, ДВИ, олимпиадам

Хочешь сдать ЕГЭ по химии и биологии на 90+? WhatsApp репетитора Богуновой В.Г. +7(903)186-74-55

Сайт репетитора Богуновой В.Г.

Репетитор Богунова В.Г. ВК

Ютуб-канал репетитора Богуновой В.Г.

Полный каталог статей - на авторском сайте в разделе "Статьи репетитора Богуновой В.Г."

Самое интересное, как всегда, в конце статьи!

Я всегда говорила: мои ученики - всем другим пример! Да не просто пример - примерище! Ни минуты покоя. Я только подумаю, а они уже весь интернет перелопатили в поисках чего-нибудь интересного. Затем все найденное тащат на занятие - решай, Валентина Георгиевна! Да не просто решай - объясняй всю подноготную по поводу того, что было в голове у первоисточника, опубликовавшего эту самую информацию в так называемой "измененной ситуации".

На этот раз "поисковая тропинка" привела моих учеников к публикации одного из репетиторов на канале Яндекс Дзен. Не хочу давать ссылку, да это и не так важно, поскольку никакого интереса, в плане обучения, эта статья не представляет. Однако, начну с начала.

Мы только-только завершили изучение технологии написания уравнений ОВР. В самом конце блока я обычно рассказываю о том, как следует писать уравнения реакций с органическими восстановителями: о приятных сюрпризах (конфетах) и о подводных камнях (зубодробильнях), которые там могут встретиться.

Особенности ОВР с органикой

1. Предварительно составляется схема процесса с написанием структурных формул органических веществ
2. При написании собственно уравнения ОВР органическое вещество (исходное и его продукт) записывается в виде молекулярной формулы
3. Уравнение ОВР нужно расписывать исключительно методом полуреакций
4. Если исходное вещество и продукт - молекулы, число электронов (слева) рассчитывается по числу протонов (справа). Такой прием используют даже в том случае, если образуется два органических продукта. Это и есть приятный сюрприз (конфета)
5. Если или исходное вещество, или его продукт - органический ион, следует рассчитывать среднюю степень окисления атомов углерода и число отданных электронов. Если образуется два органических продукта - иона, их следует записывать в одну полуреакцию, считать оттданные электроны для каждого, затем их суммировать в общей строке. Это - подводный камень (зубодробильня).
6. После написания уравнения ОВР в молекулярной форме, следует записать его в структурной форме (для органических веществ) с учетом рассчитанных коэффициентов

В вышеупомянутой статье автор-репетитор не счел ничего лучшего, как описать примитивный электронный баланс с выдергиванием отдельно взятого атома углерода из красивейших органических структур, а затем, как Гарри Поттер, по взмаху "волшебной палочки-стилуса" нарисовать образовавшийся продукт и выписать формулы структур-неучастников окислительно-восстановительного процесса перед глазами так ничего и не понявших читатей.

Возмущению моих учеников не было предела! "Теперь мы понимаем, почему большинство выпускников заваливают ЕГЭ и совершенно не могут писать уравнения ОВР с органикой! Если учитель объясняет таким образом, что можно только запутаться и потеряться, ни о каком высоком балле на ЕГЭ не может быть речи!"

Ребята настоятельно просили меня выложить примеры написания уравнений ОВР с органикой, которые мы разбираем на Погружениях в ЕГЭ! Возможно, это спасет многих сдающих ЕГЭ по химии!

Смотрите, учитесь, пишите вместе со мной!

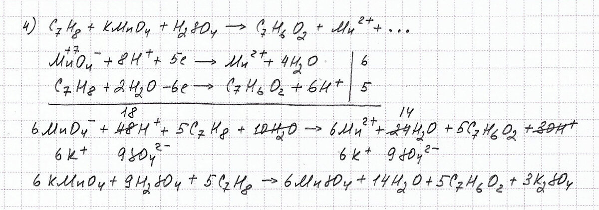
Задание 33 (1)

ОРВ с органикой (решение и анализ)

Несложное уравнение: кислая среда (без коррекции среды), один органический продукт, электроны рассчитываются по протонам

Решает репетитор Богунова В.Г. http://www.repetitor-him.ru/index.htm
Решает репетитор Богунова В.Г. http://www.repetitor-him.ru/index.htm

Задание 33 (2)

-3

ОРВ с органикой (решение и анализ)

Несложное уравнение: кислая среда (без коррекции среды), два органических продукта, электроны рассчитываются по протонам

Решает репетитор Богунова В.Г. http://www.repetitor-him.ru/index.htm
Решает репетитор Богунова В.Г. http://www.repetitor-him.ru/index.htm

Задание 33 (3)

-5

ОРВ с органикой (решение и анализ)

Сложное уравнение: нейтральная среда (требуется коррекция среды), один органический продукт-ион, электроны рассчитываются по средней степени окисления атомов углерода в исходном веществе и его продукте

Решает репетитор Богунова В.Г. http://www.repetitor-him.ru/index.htm
Решает репетитор Богунова В.Г. http://www.repetitor-him.ru/index.htm

Понравилась статья? Скоро будет продолжение. Самое интересное, как всегда, впереди! Успехов и удачи! До встречи на Яндекс Дзен! Не забывайте подписаться на мой канал и поставить лайк!

Репетитор по химии и биологии кбн В.Богунова