Добавить в корзинуПозвонить
Найти в Дзене
Я познаю Питон

Математика нужна программисту... в нейросетях?

Я уже писал статью на такую тему год назад. И рассуждал я на конкретном примере, где формула из школьной математики ускорила решение задачи до миллисекунд. Но то был чисто академический пример, т. е. доказательная база у него весьма сомнительная.
Сейчас я ничего доказывать не буду, так как пока не вижу, где именно нужна будет высшая математика. Она по-любому будет необходима в некоторых областях

Я уже писал статью на такую тему год назад. И рассуждал я на конкретном примере, где формула из школьной математики ускорила решение задачи до миллисекунд. Но то был чисто академический пример, т. е. доказательная база у него весьма сомнительная.

Сейчас я ничего доказывать не буду, так как пока не вижу, где именно нужна будет высшая математика. Она по-любому будет необходима в некоторых областях программирования, но не во всех. Где-то достаточно и алгоритмических знаний. Хотя я бы сказал, что без минимальной математики даже формочки клепать не получится, ведь высчитать ширину и высоту объекта тоже нужно уметь.

Сегодня я опять про курс машинного обучения от Сбербанка, который я начал проходить. После теории, исторических справок и зарисовок началась математика. При том не арифметика младших классов, а вполне себе матанализ. Дальше линейная алгебра и ещё один урок интересной, но мозговыносящей математики.

После окончания университета прошло 6 лет и я даже не вспомню, что я проходил там на парах. Поэтому сейчас восстанавливать сложно. И сам курс не объясняет что-то простыми словами. Тут, как бы, уже уверены в своих учениках и в их математических способностях. Предлагаю посмотреть на определение производной, которое впервые встречается в последних классах школы.

Определение производной
Определение производной

Только вот не помню, добавляли ли в школе в функцию производной предел или lim остался для университета.)

Хоть и сложно, но понемногу мозг переваривает. Правда сидеть по вечерам над сложными задачами получается не очень продуктивно. Мне сейчас больше интересно, как всё это будет применяться в самом программировании небольших нейросетей. И действительно ли это нужно в таком формате. Есть тут кто-то, кто шарит в нейронках?=)

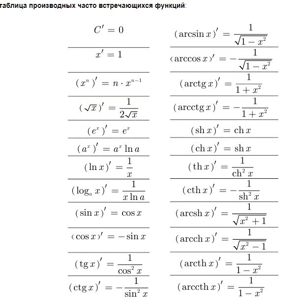
И напоследок "Таблица производных"
И напоследок "Таблица производных"