Добавить в корзинуПозвонить
Найти в Дзене

НУЖНАЯ МАТЕМАТИКА: КАК СЧИТАТЬ СВОИ РАСХОДЫ И НЕ БЫТЬ ЛОПУХОМ

Сегодня я расскажу всем гуманитариям, чайникам и другим творческим людям как нужно управлять своими личными финансами.
Оглавление

Время чтения: 4 минуты

Сколько раз вас убеждали в том, что математика когда-нибудь пригодится в вашей жизни? И сколько раз вы убеждались в этом сами?

Сегодня я расскажу всем гуманитариям, чайникам и другим творческим людям как нужно управлять своими личными финансами. Гляди, так и сами будете писать такие посты и объяснять это другим.

Итак, разберем:

1. Как же посчитать доход от вклада на n-ное количество лет БЕЗ и С капитализацией, и как же выгоднее? - Легко, просто, элементарно!

Возьмем, к примеру, 300.000 рублей под 5% годовых, сколько же будет у нас через, скажем, 3 года С капитализацией ?

Считаем:

300.000 * 1, 05 = 315.000 (через год)

315. 000 * 1,05 = 330.750 (через два года)

Поняли, да, как посчитать доходы на третий год? Давайте проверим:

330.750 * 1, 05 = 347.287 (через три года)

Вот так вы и получите на 47 тысяч рублей больше, чем вложили изначально. Остаётся только забыть про вклад на три года, и запомнить алгоритм вычисления.

Без капитализации вычисления те же, но доходы мы получаем не через год\два, а каждый год (в нашем случае, 315.000 в год), тогда как с капитализацией вы получили бы 330.750 вместо 315.000. Соответственно, С капитализацией выгоднее! Не тупите, когда в банке вас спросят: с капитализацией или без, с этого момента вы теперь можете уткнуть нос в расчетах самим менеджерам.

2. Представьте, что вам в банке сказали, что за 3 года вы заработаете столько-то, но по натуре вы, ух какой недоверчивый человек. Как же это посчитать самому?

Для начала нужно вычислить темп при роста в единицах;

5%= 1,015 (это вы ещё с прошлого кейса знаете)

Потом, решаем по этой, поверьте мне, совершенно не страшной формуле:

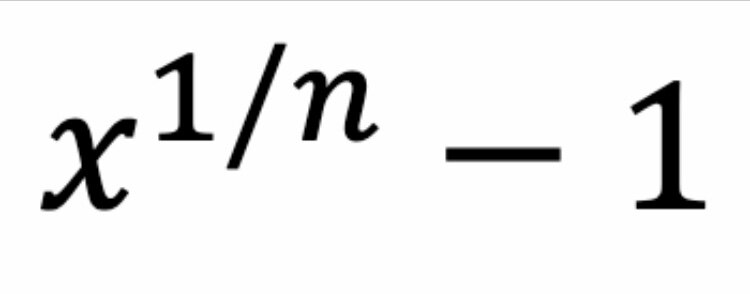
где х - темп прироста в единицах, n - доля периода в году
где х - темп прироста в единицах, n - доля периода в году

1,015 ^1/6 - 1 = 0,015

Чтобы перевести в проценты, умножаем полученное число на 100:

0,015 * 100 = 1,5 %

Получается, за три года годовая доходность в процентах будет 1,5 %.

Проверяйте прежде чем заключать контракт.

3. И, напоследок представим, что вы уже инвестор, и вкладываете 100.000 рублей и через 5 лет вы получили 300.000 . Как же понять, насколько крутой вы инвестор?- Easy!

Для этого нужно посчитать среднегодовой темп прироста:

где n - количество лет, а - сумма инвестиций, b - сумма на выходе
где n - количество лет, а - сумма инвестиций, b - сумма на выходе

Считаем:

5-1 ^300/100 - 1 = 3

Получается, ваш среднегодовой темп прироста равен 3. Счастливое число, но можно и лучше.

Теперь вы можете идти и открывать депозиты, вкладывать в акции, и, наконец-то считать свои личные доходы. See you!