Добавить в корзинуПозвонить
Найти в Дзене
Решай-ка!

Как научиться решать линейные уравнения?

Довольно часто ученики мне задают вопросы типа:
А где мне пригодится в жизни математика?
Где я могу встретиться с логарифмами?
Зачем каждому человеку нужно учиться решать уравнения?
Оглавление

Довольно часто ученики мне задают вопросы типа:

А где мне пригодится в жизни математика?
Где я могу встретиться с логарифмами?
Зачем каждому человеку нужно учиться решать уравнения?

Конечно, я понимаю, что далеко не все свяжут свою жизнь с математикой.

Но ведь в школе человек учится не только для того, чтобы набить свою голову всяческой информацией из различных наук.

При изучении математики развивается логическое мышление, тренируется память, внимание, умение находить различные подходы к проблемным ситуациям.

И это далеко не полный перечень всех достоинств этой науки.

Ведь давно уже мудрые сказали:

"Математика - гимнастика ума!"

И сегодня мы начинаем повторять принципы решения уравнений - одного из основных понятий математики.

Уравнение - один из важнейших инструментов алгебры.

Не умея решать уравнения, просто невозможно изучать эту науку.

Впрочем, в геометрии, физике, химии тоже приходится сталкиваться с уравнениями.

Уже буквально с начальных классов изучаются уравнения. Но я, к сожалению, знаю из своего многолетнего опыта, что даже и многие выпускники школы относятся к уравнениям с большой неприязнью.

Почему это происходит?

Дело в том, что начальном этапе знакомства с уравнениями где-то что-то недопоняли, недоучили, недорешали. А материал с каждым классом все усложняется, одна непонятка тянет за собой другую, и как снежный ком, растет отвращение к уравнениям и к математике в целом.

Давайте исправлять ситуацию.

Я учитель математики с 30-летним опытом работы и буду делиться с вами своими наработками.

В моих планах - выкладывать видеоуроки с простым и подробным объяснением материала, где рассматриваю конкретные примеры.

Начнем с самых простых уравнений, и постепенно будем двигаться вперед.

Смотрите, учитесь, и, конечно, обязательно закрепляйте полученную теорию на бумаге. Потому что только ваша самостоятельная работа может принести положительный результат.

Итак, смотрите первый урок:

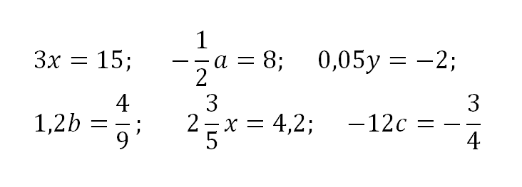
Домашнее задание

Чтобы полученная информация стала вашим знанием, обязательно закрепите ее, прорешав предложенные уравнения.

-2

Надеюсь, вы получили пользу от данного мини-урока.

Жду ваших вопросов.

Какие виды уравнений вам непонятны? Какие пробелы с вычислениями?
Спрашивайте, и я с удовольствием вам помогу с ними справиться.