Найти в Дзене
Diplom_tut

Примеры решения задач по механике на тему "Упругие деформации твердого тела"

Задача №1
Условие задачи:
Какое давление необходимо приложить к торцам стального цилиндра, чтобы длина его не изменилась при повышении температуры на 100 °C?
Решение:
Оглавление

Задача №1

Условие задачи:

Какое давление необходимо приложить к торцам стального цилиндра, чтобы длина его не изменилась при повышении температуры на 100 °C?

Решение:

-2

Задача №2

Условие задачи:

Горизонтально расположенный медный стержень длины l = 1,0 м вращают вокруг вертикальной оси, проходящей через его середину. При какой частоте оборотов он может разорваться?

Решение:

-3

Задача №3

Условие задачи:

Кольцо радиуса r = 25 см, сделанное из свинцовой проволоки, вращают вокруг неподвижной вертикальной оси, проходящей через его центр и перпендикулярной к плоскости кольца. При какой частоте оборотов данное кольцо может разорваться?

Решение:

-4

Задача №4

Условие задачи:

Стальная проволока диаметра d = 1,0 мм натянута в горизонтальном положении между двумя зажимами, находящимися на расстоянии l = 2,0 м друг от друга. К середине проволоки — точке О — подвесили груз массы m = 0,25 кг. На сколько сантиметров опустится точка О?

Решение:

-5

Задача №5

Условие задачи:

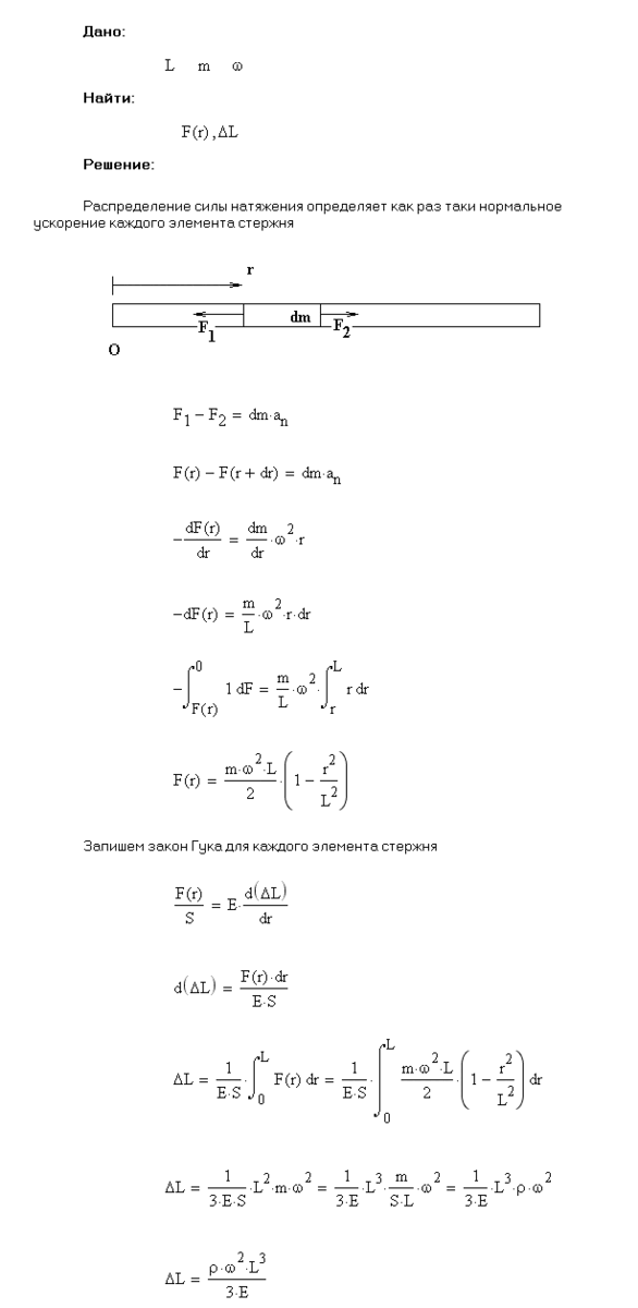
Тонкий однородный медный стержень длины l и массы m равномерно вращается с угловой скоростью ω в горизонтальной плоскости вокруг вертикальной оси, проходящей через один из его концов. Найти силу натяжения в стержне в зависимости от расстояния r до оси вращения, а также удлинение стержня.

Решение:

-6
-7

Надеемся, что Вы сможете с пользой применить эту информацию на практике. Если нужно решить задачи по механике на тему "Упругие деформации твердого тела" и другие темы , а времени на эту работу нет от слова «совсем», обратитесь в профессиональный студенческий сервис за быстрым и подробным решением.

____________________________

❤ Ставьте ❤ Подписывайтесь ❤

Заказать любую работу по любому предмету можно тут

Если нужен репетитор, то кликай тут

____________________________