Найти в Дзене
Diplom_tut

Примеры решения задач по механике на тему "Динамика твердого тела"

Сложности с решением задач? Не отчаивайтесь - мы поможем решить задачи любой сложности
Оглавление

Задача №1

Условие задачи:

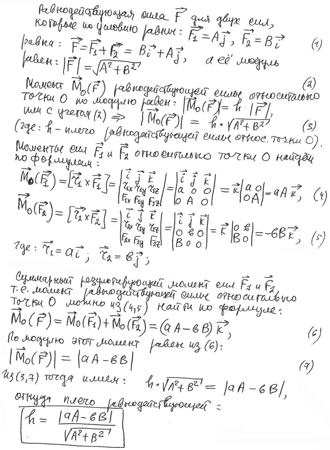
К точке с радиус-вектором r1 = ai приложена сила F1 = Аj, а к точке с r2 = bj — сила F2 = Bi. Здесь оба радиус-вектора определены относительно начала координат O, i и j — орты осей x и y, а, b, А и В — постоянные. Найти плечо l равнодействующей силы относительно точки O.

Решение:

-2

Задача №2

Условие задачи:

Найти момент инерции:

а) тонкого однородного стержня относительно оси, перпендикулярной к стержню и проходящей через его конец, если масса стержня m и его длина l;

б) тонкой однородной прямоугольной пластинки относительно оси, проходящей перпендикулярно к плоскости пластинки через одну из ее вершин, если стороны пластинки a и b, а ее масса m.

Решение:

-3

Задача №3

Условие задачи:

Вычислить момент инерции:

а) медного однородного диска относительно оси симметрии, перпендикулярной к плоскости диска, если его толщина b = 2,0 мм и радиус R = 100 мм;

б) однородного сплошного конуса относительно его оси симметрии, если масса конуса m и радиус его основания R.

Решение:

-4

Задача №4

Условие задачи:

Показать, что для тонкой пластинки произвольной формы имеется следующая связь между моментами инерции: I1 + I2 = I3, где 1, 2, 3 — три взаимно перпендикулярные оси, проходящие через одну точку, причем оси 1 и 2 лежат в плоскости пластинки. Используя эту связь, найти момент инерции тонкого круглого однородного диска радиуса R и массы m относительно оси, совпадающей с одним из его диаметров.

Решение:

-5

Задача №5

Условие задачи:

Однородный диск радиуса R = 20 см имеет круглый вырез, как показано на рис. Масса оставшейся (заштрихованной) части диска m = 7,3 кг. Найти момент инерции такого диска относительно оси, проходящей через его центр инерции и перпендикулярной к плоскости диска.

Решение:

-6

Задача №6

Условие задачи:

Исходя из формулы для момента инерции однородного шара, найти момент инерции тонкого сферического слоя массы m и радиуса R относительно оси, проходящей через его центр.

Решение:

-7

Задача №7

Условие задачи:

На однородный сплошной цилиндр массы M и радиуса R намотана легкая нить, к концу которой прикреплено тело массы m. В момент t = 0 система пришла в движение. Пренебрегая трением в оси цилиндра, найти зависимость от времени:

а) угловой скорости цилиндра;

б) кинетической энергии всей системы.

Решение:

-8

Сложности с решением задач? Не отчаивайтесь - мы поможем

-9

____________________________

❤ Ставьте ❤ Подписывайтесь ❤

Заказать любую работу любой сложности можно тут

Если нужен репетитор по физике, то кликай тут

____________________________