Добавить в корзинуПозвонить
Найти в Дзене
Успешный ученик

Взаимно обратные числа

В этой статье мы с тобой разберёмся со следующими вопросами:
Какие числа называются взаимно обратными?
Какое число является обратным себе?
У какого числа нет обратного?
Оглавление

В этой статье разберёмся со следующими вопросами:

  • Какие числа называются взаимно обратными?
  • Какое число является обратным себе?
  • У какого числа нет обратного?
  • Как найти число, обратное обыкновенной и десятичной дроби?
  • Как найти число, обратное смешанному числу и натуральному числу?

рисунок из открытых источников
рисунок из открытых источников

Готов(а)?

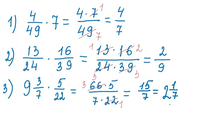
Подожди, давай сначала вспомним умножение обыкновенных дробей.

-2

Вспомнил(а), как выполнять умножение? Проверь себя. Только чур, не подглядывай. Выполни примеры самостоятельно и только потом сверь с моим решением. Договорились?

-3

Ну что? Готов(а) к проверке? Даю решение. Проверь себя внимательно.

-4

Вот теперь ты готов(а) к изучение темы "Взаимно обратные числа".

Два числа, произведение которых равно 1, называют взаимно обратными.

Значит, если при умножении двух чисел в результате получилось число 1, то множители были взаимно обратными числами.

Посмотри на примеры, что мы решали выше, есть взаимно обратные числа среди множителей?

Правильно, это числа

-5

А теперь давай тренироваться!

Найди числа, обратные числам:

-6

Делай самостоятельно. Ниже проверим, что получилось, только не подглядывай!

-7

Догадался (лась), что делать?

-8

Ну вот, теперь нам ничего не страшно! Найдём обратное для любого числа)

Какое число обратно 1?

Правильно! Число 1 обратно самому себе)

А вот тебе вопросик посложнее: какое число не имеет обратного?

Думаю, что ты догадался (лась). Это число 0.

Осталось приобрести практические навыки. Найди числа, обратные следующим числам:

-9

Решай честно, и только потом проверяй!

Догадался (лась), что в первом случае смешанное число надо было перевести в неправильную дробь?

-10

А во втором, третьем и четвёртом примерах, что надо было сделать с десятичными дробями? Конечно, перевести в обыкновенные!

-11

А что делать с натуральным числом 3?

-12

Поздравляю! Теперь ты подкован(а) во всех отношениях!

Давай посмотрим, где можно применить взаимно обратные числа.

Вычисли удобным способом.

-13

Теперь поработай самостоятельно. Вычисли удобным образом.

-14

Ну как? Получилось? Давай проверять!

-15

Давай ещё немного потренируемся, чтобы убедиться, что у тебя всё хорошо получается.

Найди число, обратное:

-16

А теперь проверь, что получилось.

-17

Мы славно сегодня поработали. Давай вернёмся к началу статьи. Сможешь ответить на вопросы?

  • Какие числа называются взаимно обратными?
  • Какое число является обратным себе?
  • У какого числа нет обратного?
  • Как найти число, обратное обыкновенной и десятичной дроби?
  • Как найти число, обратное смешанному числу и натуральному числу?

Умница!

Благодарю за внимание к статье. А для тех, кто любит больше смотреть, чем читать, прикрепляю видео урок.