Добавить в корзинуПозвонить
Найти в Дзене

Необычный интеграл

Математика онлайн. Доступно о сложном Здравствуйте, уважаемые любители математики! Для вычисления данного интеграла сделаем замену переменной: Подставим полученные выражения и упростим подынтегральное выражение. Поменяем местами пределы интегрирования, при этом перед интегралом появится знак «минус». Видим, что получился интеграл, совпадающий с первоначальным по модулю, но имеющий противоположный знак (смена обозначения не влияет на значение интеграла). Это возможно только в том случае, когда интеграл I равен нулю.
Задание - из книги "Задачи студенческих олимпиад по математике". Авторы - Беркович Ф.Д., Федий В.С. Другие статьи серии «Задачи студенческих олимпиад» Рубрикатор канала О канале Тесты по математике Не забудьте подписаться на канал, если - Вам интересны вопросы, которые здесь разбираются; - Вам могут потребоваться консультации по математике (подробнее здесь).

Математика онлайн. Доступно о сложном

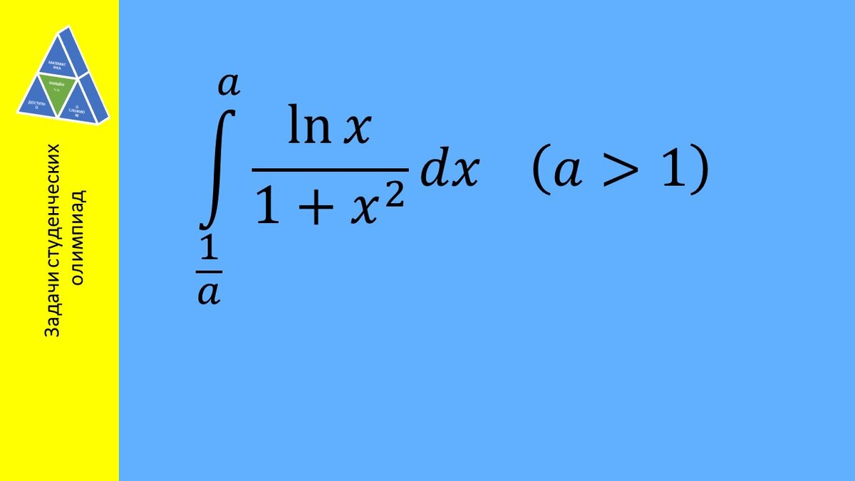
Задание студенческой математической олимпиады
Задание студенческой математической олимпиады

Здравствуйте, уважаемые любители математики!

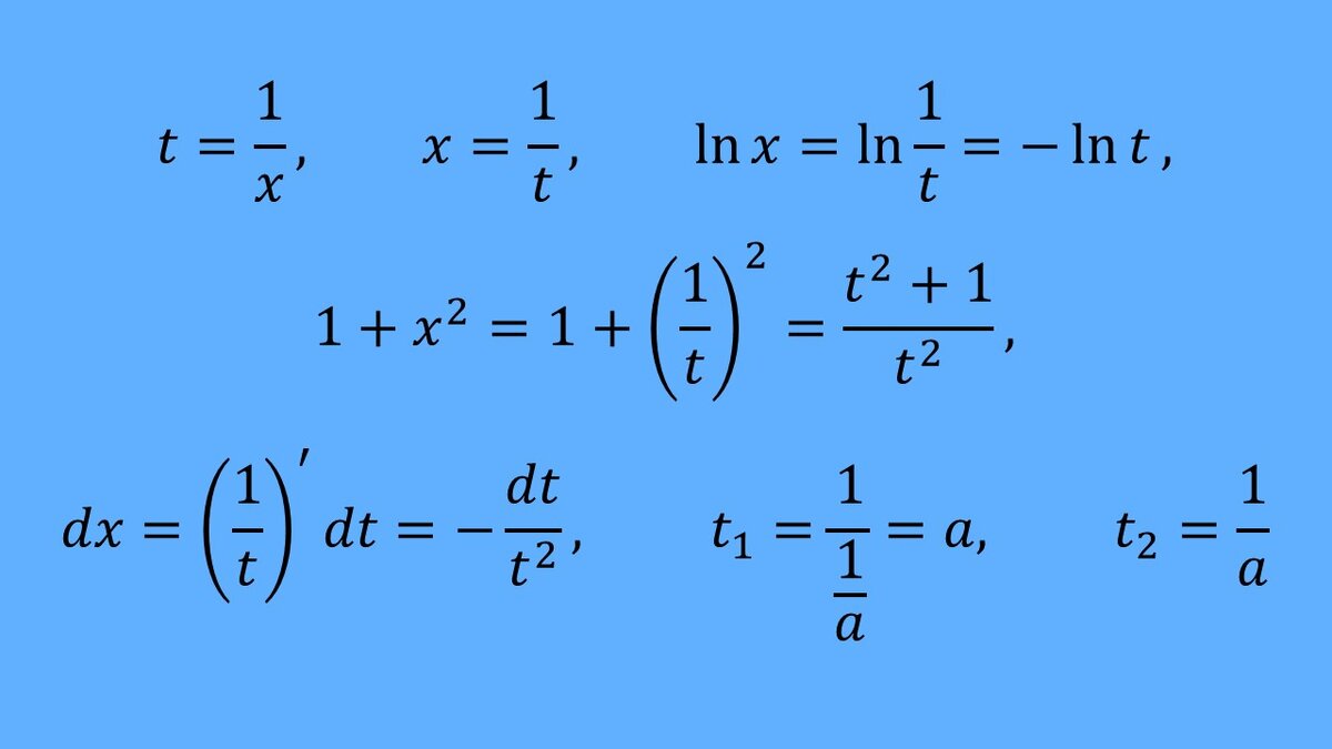
Для вычисления данного интеграла сделаем замену переменной:

Вводим новую переменную
Вводим новую переменную

Подставим полученные выражения и упростим подынтегральное выражение.

Поменяем местами пределы интегрирования, при этом перед интегралом появится знак «минус».

Преобразование интеграла
Преобразование интеграла

Видим, что получился интеграл, совпадающий с первоначальным по модулю, но имеющий противоположный знак (смена обозначения не влияет на значение интеграла).

Это возможно только в том случае, когда интеграл I равен нулю.


Задание - из книги "Задачи студенческих олимпиад по математике". Авторы - Беркович Ф.Д., Федий В.С.

Другие статьи серии «Задачи студенческих олимпиад»

Рубрикатор канала

О канале

Тесты по математике

Не забудьте подписаться на канал, если

- Вам интересны вопросы, которые здесь разбираются;

- Вам могут потребоваться консультации по математике (подробнее здесь).