Добавить в корзинуПозвонить
Найти в Дзене
Дмитрий Асотов

Аппроксимация функции нормального распределения

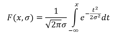
Функция нормального распределения очень востребована в научных и инженерных расчётах. Однако её для неё не существует аналитической записи. Выражается она через интеграл. Поэтому при работе с ней приходится пользоваться численными расчётами.
Если численные расчёты по какой-то причине не устраивают вас, то можно воспользоваться аппроксимацией.

Аппроксимация функции нормального распределения

Функция нормального распределения очень востребована в научных и инженерных расчётах. Однако её для неё не существует аналитической записи. Выражается она через интеграл. Поэтому при работе с ней приходится пользоваться численными расчётами.

Если численные расчёты по какой-то причине не устраивают вас, то можно воспользоваться аппроксимацией. Предлагаю вам наиболее простую из возможных формул.

-2

sign(x) – знак аргумента х, коэффициент a = 0,63119.

Достоинством этой формулы является возможность выразить обратную функцию.

Функция нормального распределения и её аппроксимация
Функция нормального распределения и её аппроксимация

Ошибка при использовании этой функции максимальная ошибка незначительно превышает 0,5 %.

Ошибка аппроксимирующей функции
Ошибка аппроксимирующей функции

В качестве заключения приведу ещё одну функцию формулу, которую можно найти на википедии.

-5

-6