Найти в Дзене
Валерий Тимин

Чем отличаются ИСО классической механики от ИСО релятивистской механики

Все знают, что ИСО отличаются от не ИСО тем, что в них материальные объекты при отсутствии взаимодействий с чем бы то ни было движутся равномерно и прямолинейно. Это определение является формулировкой первого закона Ньютона из трех открытых им законов.
Оглавление

Все знают, что ИСО отличаются от не ИСО тем, что в них материальные объекты при отсутствии взаимодействий с чем бы то ни было движутся равномерно и прямолинейно. Это определение является формулировкой первого закона Ньютона из трех открытых им законов.

1. ИСО классической механики

В качестве пространства ИСО классической механики используется абсолютное галилеево пространство-время (не АСО!) или любое другое евклидово пространство+время с декартовой с.к. В т.ч. цилиндрическое и тороидальное или другое произвольное евклидовое пространство с нулевой кривизной. Например, трехмерные аналоги окружности или цилиндра. Для галилеева пространства преобразования координат от одного ИСО к другому с сонаправленными ортонормированными координатными осями происходят в соответствии с формулами:

t' = t – t,

r' = r – v t – r₀ ⁱ.

Здесь V ⁱ – относительная скорость не абсолютной с.о. относительно абсолютной в данной точке. Для каждого ИСО существует целый класс других ИСО, отличающихся друг от друга только относительной скоростью. Взаимодействие в ИСО формулируется наиболее просто.

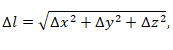
В галилеевом пространстве имеется две равноправные метрики. Это, во первых, метрика "расстояние" (имеется в виду – пространственная):

и временная "промежуток времени" между произвольными пространственно-временными точками:

τ = Δt = t₂ - t₁.

В 4-мерном виде эти метрики галилеева пространства являются вырожденными. Эти означает, что определенными этими формулами "расстояния" могут быть равны нулю даже для отличающихся точек.

2. ИСО релятивистской механики (СТО)

В качестве ИСО релятивистской механики берется псевдоевклидово пространство Минковского с преобразованиями Лоренца. Оно также может быть произвольным, но локально псевдоевклидовым. Это пространство применил для своей "релятивистской" механики ученый А.Эйнштейн. В его механике никакое тело не может двигаться с относительной скоростью более фундаментальной с = 300 000 000 км/с. В релятивистском ИСО, как и в ньютоновом, материальные объекты при отсутствии взаимодействий с чем бы то ни было движутся также равномерно и прямолинейно.

Но между ИСО классической и релятивистской механик имеется существенная разница. Принцип существования ИСО классический механики формулируется для произвольной скорости ИСО. А в принципе относительности релятивистской механики имеется выделенность некоторого множества ИСО, а именно тех, которые имеют скорость менее максимально возможной, равной скорости распространения фундаментальных взаимодействий c. И в них может быть проведено преобразование координат из одного ИСО в другое в соответствии с формулами:

-2

В этом можно усмотреть ее некоторую "абсолютность". Но в пределах своей определенности v < c принцип существования ИСО соблюдается строго.

Следствиями этой теории являются относительность расстояний и промежутков времени между любыми точками пространства-времени в различных ИСО. Но существует такое "расстояние", называемое "интервалом", которое при преобразованиях координат не изменяется. А также наблюдаются эффекты замедления скорости течения времени и сокращения расстояний в движущемся ИСО с т.з. неподвижного ИСО. И этот эффект имеет вполне осязаемый эффект при возвращении "движущегося" наблюдателя к "покоящемуся" наблюдателю. Эффект замедления скорости течения времени называется парадоксом близнецов. А также этот эффект проявляется в том, что элементарные частицы (например, μ-мезон), бомбардирующие Землю с большой скоростью, проходят в воздухе гораздо большее расстояние, чем если бы этого эффекта не было.

Мои странички на Дзен: ВАЛЕРИЙ ТИМИН

Ссылка на мою статью Как написать формулы в статье на Дзен?

Если вам понравилась статья, то поставьте "лайк" и подпишитесь на канал! Если не понравилась – все равно комментируйте и подписывайтесь. Этим вы поможете каналу. И делитесь ссылками в ваших соцсетях!

Если хотите узнать, что обозначает слово или словосочетание, в ОПЕРЕ выделите это слово(сочетание), нажмите правую клавишу мыши и выберите "Искать в ...", далее - "Yandex". Если это текстовая ссылка – выделите ее, нажмите правую клавишу мыши, выберите "перейти …". Все! О-ля-ля!