Добавить в корзинуПозвонить
Найти в Дзене

Во сколько раз вырастает тормозной путь машины при увеличении скорости её движения в 2 раза? Ответ вас удивит

⠀⠀ Задумывался ли кто-нибудь хоть раз, как длина тормозного пути зависит от скорости, с которой двигалась машина перед остановкой?

⠀⠀ Всем привет, меня зовут Савин Валерий, я репетитор по физике. Каждый из нас ежедневно переходит дорогу по пешеходной полосе и видит, как водитель тормозит на своей машине, чтобы пропустить нас, да и многие сами водят машины и часто останавливаются, чтобы пропустить пешехода.

⠀⠀Но задумывался ли кто-нибудь хоть раз, как длина тормозного пути зависит от скорости, с которой двигалась машина перед началом торможения? Физика знает ответ!

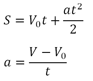
⠀⠀Для ответа нам необходимо воспользоваться основным уравнением равноускоренного движения тела из курса кинематики, а также определением ускорения:

-2

⠀⠀Напомню, что:

⠀⠀Ускорение - физическая величина, характеризующая быстроту изменения скорости.

⠀⠀Так как мы говорили только о зависимости длины тормозного пути от скорости и ни разу не говорили о времени, то логично предположить, что нам необходимо избавиться от времени t в уравнениях.

⠀⠀Выражаем время из определения ускорения:

-3

⠀⠀Подставляем его в уравнение движения:

-4

⠀⠀Мы получили безвременную формулу пути для равноускоренного (или равнозамедленного) движения.

⠀⠀Если мы хотим применить её для случая тормозящей машины, то мы должны учесть тот фактор, что машина тормозит, следовательно, ускорение будет отрицательным. К тому же, в конце машина должна остановиться, а значит скорость V должна равняться нулю. В итоге наше уравнение упростится до невозможности:

-5

⠀⠀Длина тормозного пути определяется лишь квадратом начальной скорости и ускорением. Анализируя это уравнение мы видим, что при увеличении начальной скорости (т.е. скорости, которой машина начинает тормозить) в 2 раза, дли тормозного пути увеличивается в 4 (!!!) раза.

⠀⠀Тот же самый вывод можно получить и с помощью энергетического подхода. Мы знаем, что кинетическая энергия тела определяется следующим образом:

-6

⠀⠀Из уравнения видно, что при увеличении скорости движения машины в 2 раза, её кинетическая энергия увеличивается в 4 раза. Для того, чтобы машина остановилась, необходимо, чтобы тормозящая сила совершила количество работы, численное равное кинетической энергии тела (т.е. чтобы вся кинетическая энергия движения тела перешла в работу). А так как работа в физике определяется как произведение силы на пройденный под действием этой силы телом путь, то, при неизменной тормозящей силе, путь должен увеличиться в 4 раза (т.к. кинетическая энергия при увеличении скорости в 2 раза тоже увеличилась в 4 раза).

-7

⠀На этом на сегодня всё. Читайте и развивайтесь, успехов!