Добавить в корзинуПозвонить
Найти в Дзене
Learn PC

IP-адрес и с чем его едят

У каждого пользователя есть свой (уникальный) IP в сети и, необходимо понимать, что если...
Оглавление

В этой статье хочу разобрать, что такое IP-адрес, из чего он состоит и для чего нужен.

Итак, поехали...

Для начала IP-address (англ. Internet Protocol Address) - уникальный сетевой адрес узла в компьютерной сети, построенной на основе стека протоколов TCP/IP.

!ВАЖНО! У каждого пользователя есть свой (уникальный) IP в сети, который мы получаем от провайдера и, необходимо понимать, что если несколько устройств подключены к одной Wi-Fi сети, то в глобальной сети Интернет у каждого из них одинаковый адрес, но зато в локальной (внутренней) сети он уникален для каждого конкретного пользователя.

Есть 2 версии протокола:

  • IPv4 - адрес имеет длину 4 байта и, соответственно, представляет собой 32-битное число.
    Форма записи - четыре числа от 0 до 255, разделенных точками (например, 192.168.11.25)
  • IPv6 - адрес представляет собой 128-битное число, разделителем является двоеточие (например, 2001:0db8:85a3:0000:0000:8a2e:0370:7334)

Если хотите подробнее узнать про данные версии адресов, пишите в комментарии или мне в Telegram.

Дальше будем разбираться на основе IPv4

Существуют 2 типа IP-адресов:

  • Статические (постоянные) - присваивается при подключении к сети и не может быть присвоен другому устройству (закреплен за устройством).
  • Динамические (изменяемые) - используются ограниченный промежуток времени, каждое подключение к сети устройству присваивается новый IP-address.

IP-адрес состоит из двух частей: номер сети и номер узла, в настоящее время используется бесклассовая адресация (CIDR), при которой количество адресов в сети определяется маской подсети.

На примере IP-адреса 192.168.25.128 разберем каким будет номер сети при различных масках.
Предлагаю, для лучшего понимания происходящего, для начала разобраться с наиболее часто используемой маской 255.255.255.0

Нам необходимо преобразовать IP-адрес и маску подсети преобразовать в бинарный код (0 и 1)

Конкретный пример IP-адреса и маски подсети
Конкретный пример IP-адреса и маски подсети

Запись нашего IP-адреса с маской 255.255.255.0 превращается в 192.168.25.128/24, где /24 показывает, сколько разрядов выделяется для номера сети (см. картинку, выделено оранжевым), следовательно, в нашей подсети имеется 32 - 24 = 8 разрядов (см. картинку, выделено синим) под под адреса узлов (в данном случае количество узлов равно 2^8 - 2 = 254).

!ВАЖНО! Стоит отметить, что «нулевой» адрес в сети - адрес сервера (192.168.25.0), а последний адрес (192.168.25.255) - широковещательный адрес (пакет, полученный на этот адрес, получат все узлы сети).

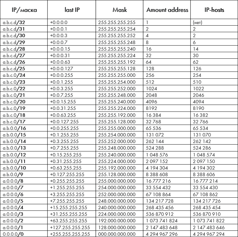
Универсальная таблица всевозможных масок подсети
Универсальная таблица всевозможных масок подсети

Таким образом, мы можем получить универсальную таблицу всевозможных масок подсети, в которой:

  • a, b, c, d - числа в пределах от 0 до 255, которые в совокупности дают IP-адрес;
  • a.b.c.d/x - IP-адрес + маска подсети (x - количество разрядов в маске);
  • last IP - до последнего IP в подсети;
  • Mask - маска подсети в человекочитаемом формате;
  • Amount address - всего адресов (с учетом адреса подсети и широковещательного);
  • IP-hosts - количество узловых адресов (без «нулевого» адреса подсети и широковещательного).

Особые IP-адреса

Отдельного внимания необходимо удостоить IP-адреса, назначение которых «обговорено заранее»:

  • 192.168.0.0/16, 172.16.0.0/12, 10.0.0.0/8 - адреса, которые используются только в локальных сетях;
  • 127.0.0.1 или localhost - отдельный адрес только вашей машины («локальный хост», по смыслу — этот компьютер).
Изображение взято с сайта itportal
Изображение взято с сайта itportal

Сегодня мы разобрались с тем, что такое IP-адрес и из чего он состоит.
Подписывайтесь на канал и вас ждет еще больше полезного контента.