Найти в Дзене
Валерий Тимин

Преобразования ковариантных векторных параметров галилеева пространства

Рассмотрим правила преобразования ковариантных векторов галилеева пространства. Для получения этой формулы в качестве примера рассмотрим, как ведет себя градиентное поле A = ∂φ(x,t)/∂q = {∂φ/∂t,∂φ/∂x} при галилеевых преобразованиях системы координат. Пусть новая система координат движется

Кроме контравариантных векторов, правила преобразования которых я рассмотрел в предыдущей статье Особенности преобразования векторов скорости и ускорения в галилеевом пространстве, существуют и ковариантные векторы. Об этом я писал в статье Сопряженные векторы галиеева пространства и метрический тензор. Контравариантные векторы преобразуются следующим образом: (ф.0)

Рассмотрим правила преобразования ковариантных векторов. В качестве примера ковариантного вектора возьмем градиент некоторого скалярного поля в галилеевом пространстве.

Для получения этой формулы в качестве примера рассмотрим, как ведет себя градиентное поле A = ∂φ(x,t)/∂q = {∂φ/∂t,∂φ/∂x} при галилеевых преобразованиях системы координат. Пусть новая система координат движется в направлении оси x со скоростью vx. Ее пространственная часть изменяется следующим образом:

-2

т.е. пространственная часть градиентного поля не меняется. Временная составляющая изменяется следующим образом:

-3

т.е. временная часть градиентного поля изменяется. В векторной форме формула преобразования градиента скалярной функции будет следующей:

-4

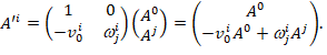
В тензорно-матричном виде это запишем в виде:

-5

При наличии еще и поворота с.о.:

-6

Матрица преобразования gi j (4) и (5) отличается от случая преобразования контравариантных векторов тем, что она подверглась диагональному переворачиванию с изменением знаков элементов g0j: с -vj0 поменялась на + v0j. Это соответствует поднятию ковариантных и опусканию контравариантных индексов соответствующего тензора: при этой операции временные элементы с индексом 0 не изменяют своего знака, а с пространственными индексами изменяют свой знак. Обратите внимание на этот момент в статье по второй ссылке в начале статьи.

Обобщая формулу преобразования градиента скалярной функции на любые вектора, имеем:

-7

В ковариантном векторе при наличий только галилеевых преобразований изменяется только временная часть вектора, пространственная часть не изменяется. Если пространственная часть равна 0, то вектор не изменяется:

-8

Энергия и импульс м.т.

В качестве дополнения для размышлений - Энергия и импульс м.т.

Рассматривая уравнение (7), можно сделать некоторые далеко идущие выводы. Предположим, что A - это кинетическая энергия м.т. K, а Aj – импульс Pj. Тогда для бесконечно малого изменения скорости dv0j можем записать:

-9

Предполагая, что при v = 0 E0 = 0, можем предположить, что кинетическая энергия K м.т. равна mv²/2. Жаль, что для импульса в случае ковариантного вектора энергия-импульс не получается ничего хорошего. Только поворот, без изменения ее модуля. Но и для импульса имеется достойный выход. Два случая. Первый - почти тривиальный - получается при использовании контравариантной пространственной части вектора энергия-импульс. А второй - не тривиальный. Не для этой статьи.

Если вам понравилась статья, то поставьте "лайк" и подпишитесь на канал! Если не понравилась – все равно комментируйте и подписывайтесь. Этим вы поможете каналу. И делитесь ссылками в ваших соцсетях!

Если хотите узнать, что обозначает слово или словосочетание, в ОПЕРЕ выделите это слово(сочетание), нажмите правую клавишу мыши и выберите "Искать в ...", далее - "Yandex". Если это текстовая ссылка – выделите ее, нажмите правую клавишу мыши, выберите "перейти …". Все! О-ля-ля!

Ссылка на мою статью Как написать формулы в статье на Дзен?

Мои странички на Дзен: https://zen.yandex.ru/id/5e036c95fc69ab00aecfe6e9