Добавить в корзинуПозвонить
Найти в Дзене

Индекс жилой недвижимости от Московской биржи. Как это повлияет на инвестирование в недвижимость в целом.

Московская биржа совместно со Сбербанком начала расчет индекса московской жилой недвижимости.
Индексы рынка недвижимости помогут разобраться в положении, хорошо ориентироваться в данном пространстве. Для начала нужно разобраться в общих индексах на недвижимость, что они нам дают, и как ими можно пользоваться.
Чаще всего выделяют 3 основных индекса, которые показывают общую картину на рынке
Фото взято с сайта https://www.moex.com/ru/indices
Фото взято с сайта https://www.moex.com/ru/indices

Московская биржа совместно со Сбербанком начала расчет индекса московской жилой недвижимости.

Индексы рынка недвижимости помогут разобраться в положении, хорошо ориентироваться в данном пространстве. Для начала нужно разобраться в общих индексах на недвижимость, что они нам дают, и как ими можно пользоваться.

Чаще всего выделяют 3 основных индекса, которые показывают общую картину на рынке недвижимости.

  • Индекс стоимости жилья
  • Индекс ценового ожидания
  • Индекс доходности жилья
  1. Индекс стоимости жилья - это общерыночный показатель, который своей структурой описывает общие тенденции рынка к росту или снижению цен. По своей логике индекс стоимости жилья является макроэкономическим показателем. Он не отражает цену какой-то отдельной квартиры, а служит своеобразной единицей измерения на рынке жилья. По факту, этот индекс можно применять как и собственникам, так и ищущим жилье гражданам. Текущее значение индекса обновляется каждую неделю и позволяет видеть изменение уровня цен за это период. Неделя - небольшой срок для рынка недвижимости, однако значения индекса за несколько недель уже позволяют увидеть тенденцию к повышению или понижению рынка. Таким образом, можно заметить предстоящие изменения очень оперативно - в течение месяца, что недостижимо другими средствами.
  2. Индекс ценового ожидания - это это текущий темп изменения среднего уровня цен на жилье в долларах, выраженный в % в месяц. По данному показателю можно определить перспективы изменения стоимости. Значения данного индекса демонстрируют возможные темпы прироста цен на ближайший или длительный срок, позволяют определить, стоит ли на данный момент вкладывать финансовые средства в рынок недвижимости и вовремя реагировать на его изменения. Большие положительные значения индекса соответствуют интенсивному росту цен, когда лучше подождать с продажей, но выгодно покупать. Снижение индекса до нуля означает замедление роста цен и стабилизацию рынка, когда сделки с недвижимостью выгодны как для продавца, так и для покупателя.
  3. Индекс доходности жилья - это экономический показатель эффективности вложения средств в жилье. Он тесно связан на доходном методе оценки недвижимости. Показатель поможет просчитать выгоду вложения денежных средств. На него влияют рост и снижение цен на жилье, при резком снижении стоимости жилья индекс доходности сильно снижается. При отрицательном значении параметра доход от продажи или сдачи в аренду жилья не будет высоким.

Все эти индексы помогают грамотно мониторить за ситуацией на рынке недвижимости. Уникальной отличительной особенностью системы индексов является оперативность информации - цифры обновляются еженедельно по понедельникам, позволяя начинать новую рабочую неделю с обзора ситуации на рынке.

Индекс жилой недвижимости рассчитывается на основании данных сервиса ДомКлик от Сбербанка. Данный сервис очень удобно и правильно адаптирован под данный индикатор. В самом приложении есть такая важная функция как «Анализ цены», которая позволяет определить рыночную стоимость квартиры. Алгоритм сравнивает квартиры более чем по 40 параметрам, а также учитывает тренды на изменение стоимости недвижимости, что позволяет говорить о его точности. Сервис посещают более 8 млн пользователей ежемесячно, и он входит в топ самых посещаемых ресурсов в категории недвижимости в России. Через DomClick.ru уже выдано более 419 тысяч ипотечных кредитов на сумму, превышающую 1 трлн рублей.

Индекс московской недвижимости ДомКлик однозначно станет важнейшим инструментом для инвесторов, так как он основан на реальных следках и конечно же обновляется еженедельно.

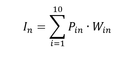
Значение Индекса рассчитывается как средневзвешенное значение стоимости квадратного метра по административным округам г. Москвы и Сегментам рынка недвижимости:де:

где: In – значение Индекса на n-ый момент расчета;
Pin– средняя цена квадратного метра общей площади, рассчитанная на основании сделок с объектами недвижимости данного Сегмента за предшествующие 4 недели;
Win – вес i-го Сегмента рынка недвижимости в Индексе, определяемый на основании настоящей Методики.
где: In – значение Индекса на n-ый момент расчета; Pin– средняя цена квадратного метра общей площади, рассчитанная на основании сделок с объектами недвижимости данного Сегмента за предшествующие 4 недели; Win – вес i-го Сегмента рынка недвижимости в Индексе, определяемый на основании настоящей Методики.

Значение Индекса по состоянию на дату первого произведенного расчета: I1 = 159 646,69 RUB на 28.12.2016 г.

На данный момент значение на 11.01.2020 205 331,12 RUB.

Рынок недвижимости станет защищеннее благодаря новому индексу! В будущем Московская биржа сделает фьючерсные контракты на новый индикатор. Они позволят инвестиционным фондам и частным инвесторам реализовывать стратегии, направленные на получение прибыли от изменения цен на недвижимость. Застройщики, в свою очередь, смогут с помощью фьючерсов захеджировать рыночные риски, а финансовые компании – создать новые структурные продукты, которые помогут частным инвесторам накопить на недвижимость либо на первоначальный взнос по ипотеке. Это приведет к еще большему изменению цены и волатильности на рынке. Но это логический и правильный переход на рынке недвижимости, что реально помогает развивать и улучшать его.

Я буду рад, если Ты поставишь лайк, прокоментируешь и подпишешься на меня, если конечно Тебе и дальше будет интересна тема инвестиций.